The Project Gutenberg EBook of Cyclopedia of Commerce, Accountancy,
Business Administration, Volume 5 (o, by Various

This eBook is for the use of anyone anywhere in the United States and most
other parts of the world at no cost and with almost no restrictions
whatsoever.  You may copy it, give it away or re-use it under the terms of
the Project Gutenberg License included with this eBook or online at
www.gutenberg.org.  If you are not located in the United States, you'll have
to check the laws of the country where you are located before using this ebook.

Title: Cyclopedia of Commerce, Accountancy, Business Administration, Volume 5 (of 10)

Author: Various

Release Date: April 6, 2016 [EBook #51676]

Language: English

Character set encoding: UTF-8

*** START OF THIS PROJECT GUTENBERG EBOOK CYCLOPEDIA OF COMMERCE, VOLUME 5 ***




Produced by Richard Tonsing, Juliet Sutherland and the
Online Distributed Proofreading Team at http://www.pgdp.net






Transcriber's Note:

The cover image was created by the transcriber and is placed in the public domain.

A VIEW IN UNION STOCK YARDS, CHICAGO, ILL.
The Greatest Live Stock Market in the World

1

Cyclopedia
of
Commerce, Accountancy, Business Administration

A General Reference Work on
ACCOUNTING, AUDITING, BOOKKEEPING, COMMERCIAL LAW, BUSINESS
MANAGEMENT, ADMINISTRATIVE AND INDUSTRIAL ORGANIZATION,
BANKING, ADVERTISING, SELLING, OFFICE AND FACTORY
RECORDS, COST KEEPING, SYSTEMATIZING, ETC.
Prepared by a Corps of
AUDITORS, ACCOUNTANTS, ATTORNEYS, AND SPECIALISTS IN BUSINESS
METHODS AND MANAGEMENT
Illustrated with Over Two Thousand Engravings
TEN VOLUMES
CHICAGO
AMERICAN TECHNICAL SOCIETY
1910
Copyright, 1909
BY
AMERICAN SCHOOL OF CORRESPONDENCE
Copyright, 1909
BY
AMERICAN TECHNICAL SOCIETY
Entered at Stationers' Hall, London
All Rights Reserved
2

Authors and Collaborators

JAMES BRAY GRIFFITH, Managing Editor
Head, Dept. of Commerce, Accountancy, and Business Administration, American School of Correspondence.
ROBERT H. MONTGOMERY
Of the Firm of Lybrand, Ross Bros. & Montgomery, Certified Public Accountants.
Editor of the American Edition of Dicksee's Auditing.
Formerly Lecturer on Auditing at the Evening School of Accounts and Finance of the University of Pennsylvania, and the School of Commerce, Accounts, and Finance of the New York University.
ARTHUR LOWES DICKINSON, F. C. A., C. P. A.
Of the Firms of Jones, Caesar, Dickinson, Wilmot & Company, Certified Public Accountants, and Price, Waterhouse & Company, Chartered Accountants.
Of the Firm of Lybrand, Ross Bros. & Montgomery, Certified Public Accountants.
F. H. MACPHERSON, C. A., C. P. A.
Of the Firm of F. H. Macpherson & Co., Certified Public Accountants.
CHAS. A. SWEETLAND
Consulting Public Accountant.
Author of "Loose-Leaf Bookkeeping," and "Anti-Confusion Business Methods."
E. C. LANDIS
Of the System Department, Burroughs Adding Machine Company.
Editor-in-Chief, Textbook Department, American School of Correspondence.
CECIL B. SMEETON, F. I. A.
Public Accountant and Auditor.
President, Incorporated Accountants' Society of Illinois.
Fellow, Institute of Accounts, New York.
3
JOHN A. CHAMBERLAIN, A. B., LL. B.
Of the Cleveland Bar.
Lecturer on Suretyship, Western Reserve Law School.
Author of "Principles of Business Law."
HUGH WRIGHT
Auditor, Westlake Construction Company.
GLENN M. HOBBS, Ph. D.
Secretary, American School of Correspondence.
JESSIE M. SHEPHERD, A. B.
Associate Editor, Textbook Department, American School of Correspondence.
GEORGE C. RUSSELL
Systematizer.
Formerly Manager, System Department, Elliott-Fisher Company.
OSCAR E. PERRIGO, M. E.
Specialist in Industrial Organization.
Author of "Machine-Shop Economics and Systems," etc.
DARWIN S. HATCH, B. S.
Assistant Editor, Textbook Department, American School of Correspondence.
CHAS. E. HATHAWAY
Cost Expert.
Chief Accountant, Fore River Shipbuilding Co.
CHAS. WILBUR LEIGH, B. S.
Associate Professor of Mathematics, Armour Institute of Technology.
L. W. LEWIS
Advertising Manager, The McCaskey Register Co.
MARTIN W. RUSSELL
Registrar and Treasurer, American School of Correspondence.
4
HALBERT P. GILLETTE, C. E.
Managing Editor, Engineering-Contracting.
Author of "Handbook of Cost Data for Contractors and Engineers."
R. T. MILLER, JR., A. M., LL. B.
President, American School of Correspondence.
WILLIAM SCHUTTE
Manager of Advertising, National Cash Register Co.
E. ST. ELMO LEWIS
Advertising Manager, Burroughs Adding Machine Company.
Author of "The Credit Man and His Work" and "Financial Advertising."
RICHARD T. DANA
Consulting Engineer.
Chief Engineer, Construction Service Co.
P. H. BOGARDUS
Publicity Manager, American School of Correspondence.
WILLIAM G. NICHOLS
General Manufacturing Agent for the China Mfg. Co., The Webster Mfg. Co., and the Pembroke Mills.
Author of "Cost Finding" and "Cotton Mills."
C. H. HUNTER
Advertising Manager, Elliott-Fisher Co.
FRANK C. MORSE
Filing Expert.
Secretary, Browne-Morse Co.
H. E. K'BERG
Expert on Loose-Leaf Systems.
Formerly Manager, Business Systems Department, Burroughs Adding Machine Co.
EDWARD B. WAITE
Head, Instruction Department, American School of Correspondence.
5

Authorities Consulted

The editors have freely consulted the standard technical and business literature of America and Europe in the preparation of these volumes. They desire to express their indebtedness, particularly, to the following eminent authorities, whose well-known treatises should be in the library of everyone interested in modern business methods.

Grateful acknowledgment is made also of the valuable service rendered by the many manufacturers and specialists in office and factory methods, whose coöperation has made it possible to include in these volumes suitable illustrations of the latest equipment for office use; as well as those financial, mercantile, and manufacturing concerns who have supplied illustrations of offices, factories, shops, and buildings, typical of the commercial and industrial life of America.

JOSEPH HARDCASTLE, C. P. A.
Formerly Professor of Principles and Practice of Accounts, School of Commerce, Accounts, and Finance, New York University.
Author of "Accounts of Executors and Testamentary Trustees."
HORACE LUCIAN ARNOLD
Specialist in Factory Organization and Accounting.
Author of "The Complete Cost Keeper," and "Factory Manager and Accountant."
JOHN F. J. MULHALL, P. A.
Specialist in Corporation Accounts.
Author of "Quasi Public Corporation Accounting and Management."
SHERWIN CODY
Advertising and Sales Specialist.
Author of "How to Do Business by Letter," and "Art of Writing and Speaking the English Language."
FREDERICK TIPSON, C. P. A.
Author of "Theory of Accounts."
CHARLES BUXTON GOING
Managing Editor of The Engineering Magazine.
Associate in Mechanical Engineering, Columbia University.
Corresponding Member, Canadian Mining Institute.
F. E. WEBNER
Public Accountant.
Specialist in Factory Accounting.
Contributor to The Engineering Press.
6
AMOS K. FISKE
Associate Editor of the New York Journal of Commerce.
Author of "The Modern Bank."
JOSEPH FRENCH JOHNSON
Dean of the New York University School of Commerce, Accounts, and Finance.
Editor, The Journal of Accountancy.
Author of "Money, Exchange, and Banking."
M. U. OVERLAND
Of the New York Bar.
Author of "Classified Corporation Laws of All the States."
THOMAS CONYNGTON
Of the New York Bar.
Author of "Corporate Management," "Corporate Organization," "The Modern Corporation," and "Partnership Relations."
THEOPHILUS PARSONS, LL. D.
Author of "The Laws of Business."
E. ST. ELMO LEWIS
Advertising Manager, Burroughs Adding Machine Company.
Formerly Manager of Publicity, National Cash Register Co.
Author of "The Credit Man and His Work," and "Financial Advertising."
T. E. YOUNG, B. A., F. R. A. S.
Ex-President of the Institute of Actuaries.
Member of the Actuary Society of America.
Author of "Insurance."
LAWRENCE R. DICKSEE, F. C. A.
Professor of Accounting at the University of Birmingham.
Author of "Advanced Accounting," "Auditing," "Bookkeeping for Company Secretary," etc.
FRANCIS W. PIXLEY
Author of "Auditors, Their Duties and Responsibilities," and "Accountancy."
CHARLES U. CARPENTER
General Manager, The Herring-Hall-Marvin Safe Co.
Formerly General Manager, National Cash Register Co.
Author of "Profit Making Management."
7
C. E. KNOEPPEL
Specialist in Cost Analysis and Factory Betterment.
Author of "Systematic Foundry Operation and Foundry Costing," "Maximum Production through Organization and Supervision," and other papers.
HARRINGTON EMERSON, M. A.
Consulting Engineer.
Director of Organization and Betterment Work on the Santa Fe System.
Originator of the Emerson Efficiency System.
Author of "Efficiency as a Basis for Operation and Wages."
ELMER H. BEACH
Specialist in Accounting Methods.
Editor, Beach's Magazine of Business.
Founder of The Bookkeeper.
Editor of The American Business and Accounting Encyclopedia.
J. J. RAHILL, C. P. A.
Member, California Society of Public Accountants.
Author of "Corporation Accounting and Corporation Law."
FRANK BROOKER, C. P. A.
Ex-New York State Examiner of Certified Public Accountants.
Ex-President, American Association of Public Accountants.
Author of "American Accountants' Manual."
CLINTON E. WOODS, M. E.
Specialist in Industrial Organization.
Formerly Comptroller, Sears, Roebuck & Co.
Author of "Organizing a Factory," and "Woods' Reports."
CHARLES E. SPRAGUE, C. P. A.
President of the Union Dime Savings Bank, New York.
Author of "The Accountancy of Investment," "Extended Bond Tables," and "Problems and Studies in the Accountancy of Investment."
CHARLES WALDO HASKINS, C. P. A., L. H. M.
Author of "Business Education and Accountancy."
JOHN J. CRAWFORD
Author of "Bank Directors, Their Powers, Duties, and Liabilities."
DR. F. A. CLEVELAND
Of the Wharton School of Finance, University of Pennsylvania.
Author of "Funds and Their Uses."

GENERAL SALES OFFICES, SWIFT & CO., CHICAGO, ILL.

8

Foreword

With the unprecedented increase in our commercial activities has come a demand for better business methods. Methods which were adequate for the business of a less active commercial era, have given way to systems and labor-saving ideas in keeping with the financial and industrial progress of the world.

¶ Out of this progress has risen a new literature—the literature of business. But with the rapid advancement in the science of business, its literature can scarcely be said to have kept pace, at least, not to the same extent as in other sciences and professions. Much excellent material dealing with special phases of business activity has been prepared, but this is so scattered that the student desiring to acquire a comprehensive business library has found himself confronted by serious difficulties. He has been obliged, to a great extent, to make his selections blindly, resulting in many duplications of material without securing needed information on important phases of the subject.

¶ In the belief that a demand exists for a library which shall embrace the best practice in all branches of business—from buying to selling, from simple bookkeeping to the administration of the financial affairs of a great corporation—these volumes have been prepared. Prepared primarily for 9use as instruction books for the American School of Correspondence, the material from which the Cyclopedia has been compiled embraces the latest ideas with explanations of the most approved methods of modern business.

¶ Editors and writers have been selected because of their familiarity with, and experience in handling various subjects pertaining to Commerce, Accountancy, and Business Administration. Writers with practical business experience have received preference over those with theoretical training; practicability has been considered of greater importance than literary excellence.

¶ In addition to covering the entire general field of business, this Cyclopedia contains much specialized information not heretofore published in any form. This specialization is particularly apparent in those sections which treat of accounting and methods of management for Department Stores, Contractors, Publishers and Printers, Insurance, and Real Estate. The value of this information will be recognized by every student of business.

¶ The principal value which is claimed for this Cyclopedia is as a reference work, but, comprising as it does the material used by the School in its correspondence courses, it is offered with the confident expectation that it will prove of great value to the trained man who desires to become conversant with phases of business practice with which he is unfamiliar, and to those holding advanced clerical and managerial positions.

¶ In conclusion, grateful acknowledgment is made to authors and collaborators, to whose hearty coöperation the excellence of this work is due.

10

Table of Contents
 
VOLUME V

Wholesale, Commission, and Storage Accounts By James B. Griffith[1] Page [2]11
 
Wholesale Business—Controlling Accounts—Sample Transactions—Order and Sales Record—Abstract of Sales—Sales Expense—Trial Balance Book—Commission and Brokerage Business—Merchandise Broker—Manufacturer's Agent—Shipments—Agents' or Factors' Account—Principal's Account—Commission Account—Produce Shipper's Books—Commission Merchants' Books—Consignment Ledger Account—Storage Accounts—Special Records  
 
Single Entry Bookkeeping By James B. Griffith Page 91
 
Distinctive Features—Books Used—Debit and Credit—Posting—Proprietor's Account—Proving Work—Model Set—Determining Profit—Closing Books—Changing to Double Entry—Trial Balances and Comparative Statements—Comparative Statements—Proof without Trial Balance—Book Inventories—Demonstration of Proof—Reverse or Slip Posting—Special Accounting Forms—Cash Books—Cash Journals—Tabular Sales Books—Pay-Roll Records  
 
Trustees' and Executors' Accounts By James B. Griffith Page 163
 
Executors' Accounting—Inventory—Intermediate Account—Final Account—Schedules—Form of Account—Sample Accounts—Accounts with Trust Provisions—Exercise—Realization and Liquidation Account—Statement of Affairs—Resources and Liabilities—Balance Sheet—Affairs of a Bankrupt—Appraiser—Statement of Affairs—Deficiency of Account  
 
Stock Brokers' Accounts By Chas. A. Sweetland Page 195
 
Grain Purchases—Bulls and Bears—Broker's Commission—Securities—Transfers—Clearing House—Ring Settlement—Commodities Handled—Cornering Market—Value of Wire—Settlement of Contracts by Offset—Adjustment of Balances or Settlement—Commission Allowed Brokers—Books and Forms Used—Glossary of Board of Trade Terms  
 
Billing and Order Recording By Geo. C. Russell Page 235
 
European Methods—Machines for Manifolding—Development of Billing Machines—Loose-Leaf Sales Sheets and Invoices—Duplicate Invoices—Condensed Billing—Traffic Department Records—Analysis of Quantities and Amounts—Unit Billing—Back Orders—Split Orders—Loose-Leaf Sheets—Binders—Designing Stationery—Styles of Type—Carbon Papers—Blinds—How to Handle Orders on Billing Machine—Invoices in Blanket Form—Tabulators—Computing Machines in Billing—The Colored Sheet System—Compound Forms—Retail Dry Goods Billing—Devices of the Future  
 
Review Questions   Page 303
 
Index   Page 319

1.  For professional standing of authors, see list of Authors and Collaborators at front of volume.

2.  For page numbers, see foot of pages.

OFFICE, FARWELL, OZMUN, KIRK & CO. (WHOLESALE HARDWARE), ST. PAUL, MINN.

11

WHOLESALE, COMMISSION, AND STORAGE ACCOUNTS

WHOLESALE BUSINESS

In this section complete methods of bookkeeping as practiced in wholesale houses are demonstrated. Numerous modern methods that are readily adaptable to other lines of business are illustrated and explained in detail.

DIVIDING THE LEDGER

1. There are many advantages in dividing the ledger into sections. The subdivisions most commonly used are purchase ledger, sales ledger, and general ledger. Such divisions greatly facilitate posting and reduce the chances of error. While it is advisable in most cases to use a separate book for each division, the three ledgers may be combined in one book by setting aside a section for each. This practice is not recommended except where the number of accounts is small, when general and purchase ledgers or purchase and sales ledgers may be combined. The division of the ledger into three sections does not necessitate radical changes, either in form or method of handling, in the other books.

2. Purchase Ledger. The purchase ledger contains only accounts with those from whom we are making purchases. The balances of the accounts in this ledger will be on the credit side and represent a liability. The total balance of the purchase ledger is the amount we owe on open accounts. If, for example, our purchases on account during a stated period amount to $964.50, and the amount paid on account by us is $320.30, we still owe $644.20. If the work is correct the combined balances of all open accounts in the purchase ledger will exactly equal this amount.

123. Sales Ledger. The sales ledger contains only accounts with customers to whom goods are sold on account. The balances of the accounts in the sales ledger will be on the debit side and represent an asset. The total balance of the sales ledger is the amount that our customers owe us on open accounts. Suppose that a business is started with no open accounts receivable—during a stated period the sales on account amount to $1,427.75, and the total payments received on account are $965.50—the amount still outstanding is $462.25, and this amount should exactly equal the combined balances of all the open accounts in the sales ledger.

The sales ledger is sometimes subdivided into two or more parts. The divisions may be City and Country or they may be according to the letters of the alphabet—as A-K, L-Z, etc.

4. Accounts in Both Ledgers. Occasionally one from whom we are purchasing goods will also be a customer. For reasons which will appear later, accounts should, in these cases, be opened in both the purchase ledger and the sales ledger. When settlement of such an account is made, the necessary adjusting entries are made through the journal.

5. General Ledger. The general ledger contains the investment accounts of the proprietor or partners, and all real, representative, and nominal accounts. Accounts with the purchase and sales ledgers are also kept in this ledger. These are controlling accounts which represent at all times the total balances of the purchase and sales ledgers.

When statements of the other ledgers have been made and proved correct, a trial balance of the general ledger is made.

CONTROLLING ACCOUNTS

6. A controlling account is one which exhibits a summary of all of the accounts in a ledger, or of all accounts of the same class.

The sales account, with which the student has been made acquainted, exhibits net sales, while a sales controlling account exhibits a summary of all accounts in the sales ledger. The debits to the sales controlling account represent the total debits to customers' accounts as shown by the sales book or the journal. The credits to the sales controlling account represent the total credits to customers as shown by the cash book and the journal. This account is variously styled 13Sales Ledger Account, Accounts Receivable Account, or Sales Controlling Account.

A purchase controlling account exhibits a summary of all accounts in the purchase ledger. It is called a Purchase Ledger Account, Accounts Payable Account, or Purchase Controlling Account.

These controlling accounts are kept in the general ledger and show at all times the totals of accounts receivable and accounts payable, without the necessity of listing the individual balances. At the end of the month statements of the balances of the accounts in purchase and sales ledgers are made, and the totals of these balances must agree with the balances of the controlling accounts.

The operation of these controlling accounts demonstrates one of the most apparent advantages of the division of the ledger. If an error is made in posting to an account in the sales ledger it is discovered as soon as the statement of the sales ledger is made, and can be located without referring to purchase or general ledger accounts. Without the ledger division and the use of controlling accounts, there would be nothing to assist in locating an error in the trial balance in any particular section of the ledger.

ORDER BLANKS

7. In a wholesale business it is customary to have all orders entered on specially ruled order blanks of a uniform size. These orders are filed in a binder designed for the purpose, which takes the place of the old style order book.

These order blanks are furnished to salesmen who send in their orders on them. When an order is received direct from the customer it, also, is transcribed on one of these blanks so that all order records will be uniform. One very appreciable advantage in the use of this loose sheet system of order blanks is that all unfilled orders are kept in a binder by themselves.

8. Filling Orders. Each day the orders to be filled should be placed in a temporary binder or holder and sent to the warehouse. The packer will check quantities shipped and return the order, together with the shipping receipt from the railroad or express company, to the bookkeeping department.

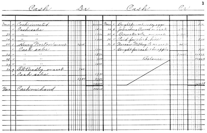
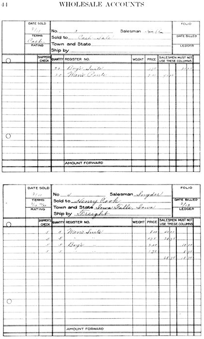
The amounts are extended, and the invoice is made out from this order blank. The sale is next recorded in the sales book. Instead 14of entering each item in the sales book the totals for each department are entered in the proper column. Each sale is numbered in the sales book as illustrated and the same number is placed on the order. These orders are then filed in the binder for filled orders in exact numerical order, which brings them also in the order of the dates of shipment.

Order Blank

SALES BOOK

9. The sales book used in this set exhibits some features not heretofore shown. At the right are three columns for the distribution of sales. At the left, in addition to columns for number, date, and folio, are two columns headed cash and sales ledger. All cash sales are entered in the cash column, and all sales on account are entered in the sales ledger column. At the end of the week or month the total of the sales ledger column is posted to the debit of the sales ledger account in the general ledger, while the totals of the sales columns at the right are posted to the credit of the sales account in the general ledger.

15

INVOICE REGISTER

10. A form of purchase book, which also combines an invoice register, is shown in this set. Unlike the forms of purchase book with which the student has been made familiar, this invoice register gives full particulars as to terms, discount, when due, and when and how paid.

The combined footings of the two department columns must of course agree with the footing of the amount column. At the end of the month the total of the amount column is posted to the credit of purchase ledger account in the general ledger, and the totals of the department columns are posted to the debit of the purchase account in the general ledger.

The details of payment are kept in the invoice register as a memorandum only. This provides a convenient record of unpaid invoices, showing when each is due.

CASH BOOK

11. In this set we introduce a columnar cash book which also serves as a journal for cash transaction and is known as a cash journal. The principal advantage of a columnar book lies in the opportunity to introduce columns with special headings for accounts to which entries are frequent. Not only does this permit of carrying footings to the end of the month with one posting to the ledger account, but it provides a convenient classification of receipts and expenditures with a complete segregation of items of a given class.

In the form illustrated, columns are provided on the debit side for cash, purchase ledger (subdivided for discount and amount), bank deposits, and sundries; on the credit side, cash, sales ledger (subdivided for discount and amount), cash sales, bank withdrawals, and sundries. At first glance it might appear that this form is a departure from the regular form of cash book, but it should be remembered that the cash columns are the only ones having anything to do with the cash account. A cash receipt is entered in the cash debit column, but the amount is credited to its source through the proper credit column; thus a payment received on account is debited to cash and credited through the sales ledger column. A deposit is credited to cash and debited to bank deposits; the payment of a purchase ledger 16account by check is credited to bank withdrawals, and debited to purchase ledger account.

The discount columns are memorandum columns only, the net cash being entered in the amount columns under purchase and sales ledger. These columns are included that the total payment may be posted to personal accounts in purchase or sales ledger. The totals of these columns are to be posted to discount and interest columns at the end of the month.

The total amount to be posted to the debit of the purchase ledger account and to the credit of sales ledger account is made up of the totals of the discount and amount columns.

The sundries columns are provided for all entries for which there are no special columns and are used principally for transactions affecting general ledger accounts. These columns are sometimes used for ordinary journal entries not involving an exchange of cash, but their use for this purpose is strongly advised against. The cash book should be used exclusively for recording cash transactions. When columnar purchase, sales, and cash books are used, the journal is only needed for adjusting and closing entries, and for this purpose it is best to provide an ordinary two-column journal.

SUBDIVISION OF EXPENSE ACCOUNT

12. In every business there are several classes of expense and it is very useful to know the exact amount of each class. When all expenses are charged under one head, it is impossible to determine without considerable checking, whether or not any particular class of expense is more than it should be. It is customary, therefore, to subdivide expense and to open accounts in the ledger for different classes of expense. Some subdivisions in common use are rent (paid), insurance, taxes, interest and discount, in freight, out freight, salaries, labor, fuel, office supplies, telegraph and telephone, postage, general expense, etc. The exact subdivisions used must of necessity be governed by the nature of the business. For instance, the item of telegraph and telephone charges may be of importance in one business, while in another, the number of such charges would be so small that a separate account is not warranted.

17

PETTY CASH VOUCHER

13. A form of envelope voucher for petty cash is illustrated. A strong manilla envelope in what is known as size #10 takes the place of the petty cash book. It is ruled for a record of payments, and a receipt for each payment is placed in the envelope. At the bottom is a space for a distribution of the amounts to the proper accounts. When the petty cash fund is depleted—or at stated intervals—a check is drawn for the amount expended and it is charged through the cash book, leaving petty cash intact. The amount of the petty cash fund is considered as cash on hand, and the voucher envelope accounts for any part of the fund not actually in the cash drawer. Petty cash should be used sparingly, as it is intended only for small expense items when it is inconvenient to give a check. When the books are closed, the petty cash expenditures may be charged through the cash book as cash payments, instead of drawing a check.

Petty Cash Voucher

18

TREATMENT OF PROTESTED PAPER

14. When a note, draft, or check is protested, the bank will charge us with the protest fee in addition to the face of the paper. The total amount must then be charged to the one from whom the paper was received. Suppose the check of Jones & Laughlin for $100.00 goes to protest and is returned to us with a protest fee of $2.50—the entry will be:

Jones & Laughlin $102.50  
Bank   $102.50
Check No. 16 given to First Nat.    
Bank to cover J. & L. check for    
$100.00, protest fee $2.50.    

SAMPLE TRANSACTIONS

15. D. A. Hall is engaged in the business of a wholesale dealer in men's and boys' clothing. On Feb. 1st. his balance sheet is as follows:

Balance Sheet, Feb. 1st, 1909.
Assets
Cash        
In Bank   $1,765.20    
In Office   125.00    
       
Total Cash     $1,890.20  
 
Accounts and Bills Receivable        
Bills Receivable   850.00    
Henry James, Due        
Feb. 5 350.00      
David Traver & Co., Due        
Feb. 15 500.00      
Accounts Receivable   1,124.00    
Frank Weitz 234.00      
John Gorham 150.00      
George Golden 300.00      
Clayton & Co. 275.00      
Henry Ames 165.00      
     
Total Accounts and Bills Rec.     1,974.00  
 
19Inventory        
Men's clothing   $2,240.00    
Boys'    "   1,200.00    
       
Total Inventory     $3,440.00  
       
Total Assets       $7,304.20
 
Liabilities
Accounts and Bills Payable        
Bills Payable   650.00    
Henry Weir & Co., Due        
Feb. 7 450.00      
A. Stein & Co., Due        
March 1 200.00      
       
Accounts Payable   675.00    
       
D. Meyer & Bro. 150.00      
Altman & Sons 350.00      
Garson & Co. 175.00      
       
Total Accounts and Bills        
Payable     1,325.00  
Total Liabilities       1,325.00
       
Present Worth       5,979.20

The following transactions are entered on the books:

—Feb. 1st—
Sold to D. A. Marcus & Son
10 overcoats 7.50 75.00  
10 men's suits 6.75 67.50 142.50
     
—1st—
Sold to H. A. Branch
15 boys' suits 3.50 52.50  
 
—1st—
Rec'd from Geo. Golden
Cash on account   150.00  
 
—2nd—
Deposited in 1st Nat. Bank   150.00  
 
20—2nd—
Sold to John Gorham
10 men's suits 7.00 70.00  
10 men's suits 6.50 65.00 $135.00
     
—2nd—
Sold to Larson & Anderson
5 boys' suits 2.75 13.75  
10 men's suits 6.50 65.00 78.75
     
—2nd—
Sold for cash
Men's clothing   37.50  
 
—3rd—
Sold to Tallman & Co.
15 men's overcoats 7.25 108.75  
 
—3rd—
Paid 1 month's rent, Ck.
No. 1   75.00  
 
—3rd—
Received from John Gorham
Cash on account   150.00  
 
—4th—
Bought from Carson & Scott
36 men's corduroy coats 3.00 108.00  
12 men's corduroy coats 3.50 42.00 150.00
Terms 2/10, 1/30, n/60    
 
—4th—
Deposited in 1st Nat. Bank   187.50  
 
—4th—
Sold to Harris & Rogers
12 men's corduroy coats 3.75 45.00  
5 overcoats 8.00 40.00 85.00
 
—4th—
Received from Frank Weitz
Note at 30 days, 6%   234.00  
 
21—5th—
Sent to D. Meyer & Bro. Ck.
No. 2   $150.00  
 
—5th—
Received from Henry James
Cash to apply on note   200.00  
Cash for interest   1.75 $201.75
New note 30 days, 6%   150.00
 
—5th—
Bought from Adler & Co.
50 men's suits 6.25 312.50  
Terms 3/10, 1/30, n/60      
 
—5th—
Paid salesman's salary Ck.
No. 3   25.00  
 
—5th—
Drew for personal use Ck.
No. 4   50.00  
 
—7th—
Sold to Henry Ames
20 men's suits 7.50 150.00  
10 boy's suits 2.75 27.50 177.50
     
—7th—
Sold to Ackley & Son
10 boy's overcoats 3.00 30.00  
10 boy's suits 2.75 27.50 57.50
     
—7th—
Received from Clayton & Co.
Check to apply on acct.   200.00  
 
—7th—
Deposited in 1st Nat. Bank   401.75  
 
—7th—
Paid our note to H. Weir & Co.
Check No. 5   450.00  
 
22—8th—
Sold to H. J. Andrews
10 men's overcoats 8.00 80.00  
12 men's corduroy coats 4.50 54.00 $134.00
     
—8th—
Paid express on shipment from
Carson & Scott, Ck. No. 6   .90  
 
—8th—
Received from Henry Ames
Cash on account   165.00  
 
—8th—
Sold for cash
1 job lot boy's clothing   87.50  
 
—9th—
Deposited in 1st Nat. Bank   252.50  
 
—9th—
Received from bank, check of
Clayton & Co., protested
for non-payment.
Amount of check   200.00  
Protest fees   2.50  
 
—10th—
Sold to Harris & Landis
10 men's overcoats 7.75 77.50  
 
—10th—
Sold to Frank Weitz
12 men's corduroy coats 3.75 45.00  
 
—10th—
Paid Carson & Scott
Check No. 7   147.00  
Discount 2%   3.00  
 
—10th—
Paid electric light bill
Check No. 8   3.75  
 
23—10th—
Received from Clayton & Co.
Cash to redeem protested
check   $202.50  
 
—10th—
Inventory at close of business,
Feb. 10
Men's clothing   1,898.75  
Boy's clothing   1,247.75  

Journal entries are to be made to get the accounts, as shown on Feb. 1st, recorded on the books. The transactions are properly entered in journal, cash book, sales book, and invoice register, and posted to ledger. The accounts in the general ledger are closed into trading, and profit and loss—the net profit is credited to proprietor's account—a trial balance is taken after the ledger is closed, and a balance sheet is made. Statements are prepared from sales and purchase ledgers, which agree with the balances of their controlling accounts. All accounts in the general ledger are properly ruled and balances carried forward.

24

Opening Entry in Journal

25

Adjusting Journal Entries

26

Sales Book and Invoice Register

SCENE IN SOUTH WATER STREET, WHERE THE COMMISSION HOUSES OF CHICAGO'S GREAT PRODUCE MARKETS ARE LOCATED

27

Columnar Cash Journal

28

Columnar Cash Journal

29

Sales Ledger

30

Sales Ledger

31

Sales and Purchase Ledgers

32

Purchase and General Ledgers

33

General Ledger

34

General Ledger

35

General Ledger

36

Statement of Sales and Purchase Ledger

37

Balance Sheet and Trial Balance of General Ledger

38

EXERCISES

16. The following transactions are recorded on the books of Parker and Hoadley, Omaha, Neb., wholesale dealers in tea and coffee. In recording these transactions use is made of the books and forms illustrated in this section.

January 2nd, 1909

A partnership is formed on this date between K. J. Parker and D. C. Hoadley for the purpose of conducting a wholesale tea and coffee business, in the name of Parker & Hoadley, the principal place of business to be Omaha, Neb. Parker invests $3,000.00 cash. Hoadley invests $2,000.00 cash. It is agreed that profits are to be shared on the basis of capital invested, capital to draw interest at 6%, and interest at 6% to be paid on withdrawals. The books are to be closed monthly and the profits divided between the partners. Hoadley is to assume the entire responsibility for the conduct and management of the business, for which he is to receive a salary of $150.00 per month, payable in installments of $75.00 on the 15th and 31st of each month.

Deposited in Western National Bank $5,000.00.

Withdrew from bank, Ck. No. 1 petty cash $25.00.

Bought from Leggitt & Co., New York, 30 chests Japan tea, 1,455# at .37½, 20 chests Oolong tea, 972# at .40; terms net 30, 2/10, f. o. b. N. Y.

Bought from Laughlin & Co., Chicago, 20 sacks Rio coffee, 1,020# at .22½, 20 sacks Java coffee, 985# at .25; 20 sacks Mocha coffee, 970# at .25; terms net 30, 2/10, f. o. b. Omaha.

Paid rent of store 1 month to James Roberts, Ck. No. 2, $60.00.

—3rd—

Sold to Ames & Johnson, 92 12th St., on account, 3 chests Japan tea, 149# at .48; sack Rio coffee, 50# at .28; 1 sack Java coffee, 52# at .32.

Sold to Landis & Snow, So. Omaha, on account, 2 chests Oolong tea, 101# at .52; 1 sack Mocha coffee, 47# at .32; 2 sacks Rio coffee, 98# at .28.

Sold to J. C. Peters & Son, 267 Roberts St., 3 chests Oolong tea, 146# at .52, 5 sacks Rio coffee, 252# at .48.

39 Bought for cash from Harris & Co., 1 office desk and chair $45.00, gave Ck. No. 3 in payment.

—4th—

Paid freight on coffee from New York by Ck. No. 4, 12.93.

Sold to Wright & Noble, 146 7th St., 2 sacks Java coffee, 99# at .32; 2 sacks Mocha coffee, 101# at .32.

Sold to Horgis & Co., 84 Jackson St., 5 chests Japan tea, 248# at .48.

Sold to Winters & James, 92 Hastings St., 4 chests Japan tea, 201# at .48; 3 chests Oolong tea, 138# at .52; 2 sacks Java coffee, 97# at .32.

Sold for cash 1 sack Rio coffee, 47# at .28; 1 chest Japan tea, 45# at .48.

—5th—

Sold to Cobb & Willet, 892 Park Av., 2 chests Japan tea, 92# at .48; 1 chest Oolong tea, 47# at .52; 1 sack Rio coffee, 44# at .28; 1 sack Java coffee, 45# at .32; 1 sack Mocha coffee, 43# at .32.

Sold to Young & Criger, 62 Watson St., 5 sacks Mocha coffee, 205# at .32; 3 chests Oolong tea, 127# at .52.

Bought from Japan Importing Co., San Francisco, 60 chests Japan tea, 2,700# at .36, f. o. b. Omaha, net cash; gave our note at 10 days without interest in payment.

Paid account of Leggitt & Co., less 2% discount, Ck. No. 5.

—6th—

Ames & Johnson paid their account, less 2% cash discount.

Deposited cash received to date.

Sold to Wade & Francis, 92 Bluff St., 10 chests Japan tea, 448# at .48.

Paid for telegram—petty cash—.40.

Received check from Landis & Snow in full settlement of their account.

Sold to J. C. Peters & Son, 5 sacks Java coffee, 231# at .32.

Sold for cash 3 sacks Rio coffee, 127# at .28; 2 sacks Mocha coffee, 89# at .32; 3 sacks Japan tea, 131# at .48.

—8th—

Deposited cash on hand, also check of Landis & Snow.

40 Sold to Ames & Johnson, 2 sacks Mocha coffee, 91# at .32; 2 chests Oolong tea, 87# at .52.

Sold to Wright & Noble, 3 chests Japan tea, 129# at .48; 1 chest Oolong tea, 42# at .52.

Paid for fuel by check No. 6 to Rogers Coal Co., 12.00.

Paid clerk's salary, check No. 7, 10.00.

Paid for labor, check No. 8, 16.50.

—9th—

Sold to Watkins & Fish, 64 Prairie Av., 5 chests Oolong tea, 207# at .52.

Bought from Western Grocer Co., Chicago, 50 chests Oolong tea, 418# at .39; 20 sacks Rio coffee, 876# at .22¼; 10 sacks Java coffee, 434# at .25; 15 sacks Mocha coffee, 653# at .25; terms 30 days net, 2/10, f. o. b. Omaha.

Received from Wright & Noble cash in payment of our bill of Jan. 4th, less 2% cash discount.

—10th—

Received from bank, check of Landis & Snow protested for non-payment, protest fees added 1.90.

Sent Laughlin & Co. our check No. 9 in payment of account

—11th—

Sold to Raymond H. Moss, 182 Spring St., 5 chests Japan tea, 217# at .48; 5 sacks Rio coffee, 214# at .28.

Sold to Watkins & Fish, 10 sacks Mocha coffee, 424# at .32.

Cobb & Willet paid their account in full, deducting 2% for cash.

—12th—

Deposited cash on hand.

Sold to Cobb & Willet, 5 chests Japan tea, 213# at .48.

Sold for cash, 2 sacks Rio coffee, 88# at .28.

—13th—

Paid our note to Japan Importing Co., check No. 10.

Paid sundry office expenses from petty cash 3.60.

Sold to Wade & Francis 3 sacks Rio coffee, 123# at .28; 2 sacks Mocha coffee, 86# at .32.

Paid clerk's salary, ck. No. 11, 10.00.

Paid for labor, ck. No. 12, 16.50.

41 —15th—

Paid ½ month's salary to D. C. Hoadley, ck. No. 13, 75.00.

1st. Balance cash, first charging petty cash expenditures as a cash payment.

2nd. Post purchase book, sales book, journal, and cash book.

3rd. Take a trial balance.

4th. Credit interest to partner's accounts.

5th. Take an inventory of stock on hand. The records show quantities purchased and quantities sold. When the same goods have been purchased at different prices, use the last price paid in figuring inventory.

6th. Close accounts into trading and profit and loss accounts.

7th. Distribute net profits to partners' capital accounts.

COMBINED ORDER AND SALES RECORD

17. Instead of keeping separate order and sales books, both records may be combined on one blank. This is accomplished by the use of order blanks provided with columns for the distribution of sales to the different departments. Before the order is filled these blanks are handled in the same manner as those without distribution columns. When filled, the amounts are extended in the proper columns and the invoice made. The orders are then filed in a binder, each day's orders being kept together, and postings made direct to customers' accounts. The footings are carried forward to the end of the month and totals posted to sales accounts. The original orders thus become a loose leaf sales book.

ABSTRACT OF SALES

18. When the order blank is used as a sales record, making a sales book with a record of a single sale to a sheet, it is somewhat inconvenient to determine from the footings the total sales for the day. This information is of considerable value, as a knowledge of what is being done from day to day is of importance to the principals of a business. Such a record is provided for by an abstract of sales on a separate sheet. This abstract should show total sales for each day, both cash and on account, divided by departments.

The blank may be made the same size as the order blanks, and filed in the sales binder at the beginning of the month. Sales are 42recorded daily and footings carried forward to the end of the month, when the totals may be posted direct to the credit of the sales account in the general ledger. The totals of sales on account will be posted to the debit of the sales controlling account in the general ledger.

OUT FREIGHT

19. The proper treatment of freight paid on outgoing shipments is an important question in accounting. When goods are sold at delivered prices, the freight paid is one of the items of expense in selling the goods, and when the books are closed the account will be closed into profit and loss. However, in a wholesale business, freight is sometimes paid as an accommodation to the customer when the goods have been sold at f. o. b. prices. Although the amount should be added to the invoice it should not be credited to the sales account as this would be taking credit for a fictitious trading profit. Such an item should be made a special charge against the customer by means of a journal entry.

Customer Dr.
Out Freight Cr.

Combined Order and Sales Record

THE GENERAL OFFICES OF THE SAMUEL C. TATUM CO., CINCINNATI, OHIO

43

Abstract of Sales by Departments

44

SALES EXPENSE

20. In a wholesale or manufacturing business it is very desirable that the exact cost of selling goods be known. Broadly, this cost is covered under the general head of sales expense, but this is usually divided into several classes of expenditures. The segregation of the various items of sales expense is desirable for the purpose of determining the percentage of each. The items which properly belong in sales expense depend somewhat on the nature of the business. For example, traveling expenses are usually a direct sales expense, but in some businesses they may be chargeable to the cost of purchases. The items entering into sales expense of the average business are: advertising, salaries of salesmen, traveling expenses of salesmen, commissions paid on sales, cost of packing and shipping, out freight.

21. Advertising. This account should be charged with all expenditures for publicity such as newspaper, magazine, street car, and bill board advertising, cost of printing catalogs, booklets, and circulars. Where there is any reason for so doing, the cost of the different classes of advertising can, of course, be kept in separate accounts. The aim and object of advertising being to increase the sale of goods, it is properly considered an item of sales expense.

22. Salaries of Salesmen. This account is charged with all salaries paid to salesmen whether traveling or working in the house. Commissions and bonuses are sometimes included in this account, but it is usually considered best to keep them in separate accounts.

23. Traveling Expenses of Salesmen. This account is charged with all legitimate traveling expenses of salesmen, the specific items included depending largely on the nature of the business. For example, in some businesses a liberal allowance is made for the entertainment of customers, while in others this item is never allowed. In any business the traveling expense account requires careful scrutiny. Salesmen should be required to furnish an itemized statement or voucher of expenses at stated intervals. For convenience, this should be made on a form specially provided for the purpose. One of the most convenient and popular expense vouchers is in the form of a book of a convenient pocket size, with a page for each day of the week and a summary of the week's expenses on the last page.

24. Packing and Shipping. This account is charged with the 45entire cost of packing goods for shipment. It includes such items as wages of shipping clerk and his assistants, crates, lumber, boxes, and all other packing materials.

TRIAL BALANCE BOOK

Traveler's Expense Book

25. To save rewriting the names of the accounts each month, a trial balance book can be used to good advantage. These books are made to accommodate six trial balances on a double page, and are sometimes made with alternate short leaves so that twelve trial balances may be made with one writing of the names. When the trial balance book is used, care must be exercised in providing space for the addition of new accounts in each section. Where separate sales and purchase ledgers are used, it is best to provide a trial balance book for each ledger.

THE CHECK REGISTER

26. Large check books are cumbersome to handle and necessitating the expenditure of much needless labor. Their use is rapidly giving way in modern offices to the check register. The check register has several distinct advantages. It exhibits, in compact form, a record of all checks issued and can also be arranged to show deposits and balance in the bank. Distribution columns can be provided with headings for the different expenditure accounts, which makes of the check register a cash expenditure book. The form should be varied to suit the business in which it is to be used. A typical form is illustrated on page 37.

27. Checks in Pads. When the check register is used it is the usual custom to have checks put up in pads. After the check is written, it is registered and numbered to correspond to the register number. With the use of padded checks, it is not necessary for the clerk who writes the check to know anything about the bank balance.

46

Trial Balance Book

47

Check Register Combined with Cash Expenditure Book

48

Cash Received Book

49

Checks in Pads

CASH RECEIVED BOOK

28. A cash book specially ruled for a record of cash received is used to supplement the check register or cash expenditure book. Columns are provided for the different classes of receipts, with one credit column. It is assumed that all cash received is deposited, payments being made exclusively by check. This does not refer to petty cash expenditures which should be kept in a petty cash book or on envelope vouchers.

SAMPLE TRANSACTIONS

29. The following transactions illustrate the use of the special blanks and books described.

D. A. Hall employs H. D. Snyder as traveling salesman for the purpose of increasing his business, agreeing to pay him a salary of $150.00 per month and expenses. He commences work on Feb. 11th. The amounts in the ledgers stand as shown in the last model set illustrated and these transactions are recorded:

—Feb. 11th.—
Paid Altman & Sons    
To balance account    
Ck. No. 9   $350.00
     
—11th—
Paid Garson & Co.    
To balance account    
Ck. No. 10   175.00
50     
     
—11th—
Sold to Daniels & Dean, Boone, Ia.    
10 men's suits $7.50 $75.00
10 men's suits 6.75 67.50
20 boys' suits 2.00 40.00
   
    182.50
Terms 2/10 N/30    
     
—11th—
Sold to A. C. Petersen, Nevada, Ia.    
10 men's overcoats 8.50 85.00
10 men's suits 7.00 70.00
   
    155.00
Terms 2/10 N/30    
     
—11th—
Received from D. A. Marcus & Son    
Cash   139.65
Discount 2%   2.85
     
—11th—
Sold for cash    
20 boys' suits 1.75 35.00
20 men's pants 2.00 40.00
     
—12th—
Received from John Gorham    
Cash 132.30    
Discount 2% 2.70    
     
—12th—
Sold to Henry Cook, Iowa Falls, Ia.    
5 men's suits 8.00 40.00
5 men's suits 5.75 28.75
5 boys' suits 2.00 10.00
5 boys' suits 1.75 8.75
   
    87.50
Terms 2/10, N/30    
     
—12th—
Sold to James Adams, Dennison, Ia.    
15 men's suits 7.00 105.00
Terms 2/10, N/30    
51     
—12th—
Received from Geo. Golden    
Cash   $150.00
     
—13th—
Sold to D. A. Marcus & Sons    
10 men's pants 2.00 20.00
10 boys' suits 1.75 17.50
   
    37.50
Terms 2/10, N/30    
     
—13th—
Paid freight on shipment to    
Henry Cook    
Ck. No. 11 3.65  
Charge to Cook    
     
—13th—
Deposited cash   824.45
     
—13th—
Sold to S. H. Allen, Mason City, Ia.    
30 men's pants 1.75 52.50
Terms 2/10, N/20    
     
—14th—
Paid Adler & Co.    
Ck. No. 12   303.12
Discount   9.38
     
—15th—
Sold to Marx & Sons, Charles City, Ia.    
10 boys' suits 2.00 20.00
10 men's suits 7.00 70.00
   
Terms 2/10, N/30   90.00
     
—15th—
Received from H. A. Branch    
Cash   52.50
     
—15th—
Received from Larson & Anderson    
Cash   78.75
52     
—16th—
Paid H. D. Snyder    
1 week's salary   $37.50
Ck. No. 13    
     
—16th—
Paid H. D. Snyder    
Traveling expenses   17.65
Ck. No. 14    
     
—16th—
Deposited cash on hand   131.25
     
—16th—
Paid D. E. Jenkins    
For cartage on shipments   2.50
Ck. No. 15    

EXERCISE

1. Prepare a trial balance of the ledger as it would appear after posting these transactions.

2. Assuming that gross trading profits average the same per cent of selling prices as in former transactions of this business house, find approximate inventory at close of business Feb. 16th.

3. Prepare trading and profit and loss account, based on this inventory.

53

Order and Sales Records

54

Order and Sales Records

55

Order and Sales Records

56

Order and Sales Records

57

Departmental Abstract of Sales

58

Cash Received Book

ONE OF THE ELECTRICAL MANUFACTURING PLANTS OF THE FAIRBANKS-MORSE COMPANY

59

Check Register and Cash Expenditure Book

60

COMMISSION AND BROKERAGE BUSINESS

30. Commission or brokerage is the business of buying and selling goods for another. The commission merchant or broker acts in the capacity of agent, charging a stated per cent or commission for his services.

Certain commodities are sold on the market at the best prices obtainable, the prices depending upon the condition of the market—the supply and demand. Since it would be both inconvenient and unprofitable for each seller to accompany his own wares to market, he avails himself of the services of the commission merchant. The class of goods most largely dealt in by commission merchants is farm produce, shipped to the cities by both producers and country dealers.

The practice of shipping produce to the broker to be sold on commission is gradually falling into disuse. As the business is now conducted, the commission merchant buys the produce outright and takes his own chances of making a profit, and thus his business becomes also that of a wholesaler.

MERCHANDISE BROKER

31. Certain classes of merchandise are marketed through the medium of brokers styling themselves merchandise brokers. Their business is usually transacted on a larger scale than that of the ordinary commission merchant. The merchandise broker sells in large quantities—as salt by the car load.

The distinction between the commission merchant and the broker lies in the fact that the commission merchant has the goods to be sold actually in his possession, while the broker acts as agent for the purchase and sale of goods which he does not actually handle.

MANUFACTURER'S AGENT

32. One distinct class of brokers is the sales agent or manufacturer's agent. He is a broker who sells goods for the manufacturer, usually by sample. As a rule the manufacturer sets the prices and determines the terms of credit. The goods are sold in the name of the manufacturer who carries the accounts on his books, paying the agent a commission for his services. In some cases, however, the manufacturer's agent maintains his own warehouse, issues a warehouse receipt for the goods which are shipped to him, and even 61advances money to the manufacturer. He then becomes virtually a commission merchant. He holds the goods as security for the money advanced, and, when sold, collects the money and remits the balance of the net proceeds the same as the ordinary commission merchant.

SHIPMENTS

33. When a principal sends goods to a commission merchant or broker to be sold on commission, it is called a shipment. As soon as the goods are sent, an account is opened with the shipment, and the shipment is designated by the name of the consignee, a number, or the name of the place—as Shipment to Richard Roe. If more than one shipment is made to a commission merchant an account should be opened for each one in order that the gain or loss can be determined for individual shipments. The separate accounts should be designated by number—as Richard Roe, shipment No. 2.

The shipment, when made, is entered in the same way as a sale, and the items are charged at cost price. The account is also charged with any expense incurred on account of the shipment. When the Account Sales is received, the account is credited with the net proceeds. It now shows either a profit or a loss which is transferred by a journal entry to an account called Profit and Loss on Shipments. This account is, in turn, closed into profit and loss when the books are closed.

If at the time of closing the books there are any outstanding shipments on which Account Sales have not been received, the debit balances represent assets the same as inventory of merchandise on hand.

34. Agents' or Factors' Account. If the Account Sales, when received, is accompanied by a remittance to cover net proceeds, cash is debited and the shipment account credited for the amount. When a remittance is not received with the Account Sales, the shipment account is credited with net proceeds and the amount is charged to a new account opened in the name of the consignee as Agent or Bailee or Factor—as Richard Roe, Agent, or Richard Roe, Bailee, which is treated as a personal account. This does not mean that Richard Roe is a debtor in the ordinary sense of the term, but that he holds funds in trust; and in case of his failure, the shipper could 62recover full value instead of being obliged to accept his pro rata share of the assets.

A CONSIGNMENT

35. When a broker receives a shipment of goods to be sold on commission, it is known as a consignment. He opens a memorandum account by entering a list of the goods, but without extending any amounts. He has not purchased the goods, but simply holds them for sale as agent of the shipper. If there are any charges against the consignment, as freight, cartage, or storage charges, an account is opened in the name of the consignor. The title would be John Doe's Consignment, and if more than one consignment is received from John Doe a separate account is opened for each. This account is debited for all charges, and as sales are made they are credited to the account. When all of the goods have been sold, the broker renders the consignor a statement, known as an Account Sales, showing sales, expenses, and net proceeds.

If, when the books are closed, there are on hand any consignments, or parts of consignments, unsold, the consignment accounts are left open and represent either assets or liabilities. If expenses have been debited and no sales credited, the account will show a debit balance representing an asset. If sales have been credited in excess of the expense charges, the credit balance will represent a liability. When an Account Sales has been rendered, the account will balance, the net proceeds having been either remitted or credited to the consignor.

36. Principal's Account. If the broker remits the net proceeds at the time of rendering the Account Sales, he debits the consignment and credits cash, or bills payable as the case may be. But if he renders an Account Sales without remitting, he opens an account with the consignor, as John Doe, Principal, or John Doe, Bailor, and credits the account with the net proceeds, debiting the consignment account. The title of the account shows that he is not an ordinary debtor to John Doe, but that the amount of the credit represents funds belonging to John Doe and held in trust by the broker. In case of his failure the account of John Doe, Principal, would have to be paid before the claims of ordinary creditors.

6337. Commission Account. All sums received by the broker for services rendered in connection with the sale of goods for a shipper are credited to a commission account. When the books are closed this account is closed into profit and loss.

PRODUCE SHIPPER'S BOOKS

38. The most common branch of the commission business is that of shipping and selling produce. The books used vary somewhat from those used by a manufacturer's agent selling to jobbers, but the principles are the same.

Two Column Shipment Book

Sometimes the same man conducts both the business of shipper and broker, buying certain goods which he in turn ships to other brokers to be sold for his account. In the produce commission business, however, the shipper is usually a buyer, located in the country, who buys produce from the farmer and ships to a commission merchant in the city.

The books required by the shipper are purchase book, shipment book, shipment ledger, cash book, journal, and general ledger.

39. Purchase Book. This book is of the same form as used in other businesses, with as many columns as may be desired to separate purchases of different classes of produce.

6440. Shipment Book. This is the book of original entry for shipments in which each shipment is recorded in detail, showing each item, with prices (usually at cost) extended. The book can be ruled with columns for segregating shipments of different classes of produce. The total of each shipment is posted to the debit of the individual shipment account in the shipment ledger. The footings of the columns are carried forward to the end of the month when they are posted to the credit of shipment accounts in the general ledger. These general ledger shipment accounts are opened for each class of produce for which a separate record is desired, and correspond to the sale account of a mercantile business.

At the end of the month the total of all shipments is posted to the debit of a controlling account in the general ledger known as shipment ledger account.

If more than one class of produce is shipped to an agent at the same time it is best to make invoices for each, treating them as independent shipments. Each package should bear a number or other mark by which it can be identified as belonging to a particular shipment.

41. Shipment Ledger. An ordinary ledger can be used or a special form prepared. Since the debit side of the account will require much the greater amount of space, special forms are quite desirable. A convenient form is illustrated on page 55.

42. Cash Book. Tabular cash books with special arrangement of the column headings are used. The special features are the column on the credit side headed shipment expense, and the debit column headed shipment ledger. The shipment expense column is for the expenses paid on each shipment. Expenses are posted direct to the debit of the individual shipment accounts, and at the end of the month the total expense is posted to the debit of the shipment ledger controlling account. The shipment ledger column is for net proceeds remitted with account sales. The amounts are posted to the credit of shipment accounts, and the total is posted at the end of the month to the credit of shipment ledger controlling account.

The sundries column is for receipts other than remittances with account sales—as payments by agents who have not remitted with account sales.

65

Shipment Ledger for Commission Business

66

Cash Journal for Commission Business

6743. Shipment Ledger Account. This is the controlling account of the shipment ledger. It is charged with total shipments through the shipment book; with advance expenses through cash book or journal; credited with net proceeds through cash book or journal. It must also be charged with profits on shipments, or it will not represent the total balance of shipment ledger.

When net proceeds are credited, the individual shipment account should be charged, through the journal, with the net profit, which is credited to Profit and Loss on Shipments. A special credit column is provided in the journal for profits, or if a record of profits on each class of produce is desired, two or more columns are provided. Monthly totals are posted to the credit of profit and loss on shipment account, or to more than one such account—as profit on poultry, profit on butter and eggs, etc. The total of all profit columns, which represents debits to shipment accounts, is charged to shipment ledger account.

It is to be supposed that losses will be few, and when one is incurred the entries should be made through the journal. The amount will be charged to profit and loss on shipment account and credited to both the individual shipment account and shipment ledger account.

44. Journal. As already explained, the journal should be provided with extra columns for profits on each class of shipment.

When an agent transmits an account sales without a cash remittance, the transaction must be journalized to close the shipment account. When proceeds are to be charged to his account, the entry is:

Dr. Cr. Cr.
Richard Roe, Agt. $160.00    
To Shipment Ledger      
Richard Roe Shipment No. 1   $160.00  
Richard Roe, Shipment No. 1 18.00    
To Profit and Loss on Shipments     $18.00

If a note to cover net proceeds is received, the entry is the same except that Bills Receivable is debited instead of Richard Roe, Agt.

When a loss is incurred the entry is:

Dr.    
Profit and Loss on Shipments $18.00    
To Shipment Ledger Account      
Richard Roe Shipment No. 1     $18.00

and postings will be made direct to all accounts affected.

68

TREATMENT OF ACTUAL SALES

45. The shipper may sell a portion of his produce outright, and if a large share of his business is transacted in this manner, sales can be treated exactly the same as though he was not engaged in a commission business, with separate sales book and sales ledger.

Most shippers, however, will not find it necessary to segregate sales to this extent. Sales can be charged to shipment accounts in the shipment ledger, but will of course be charged at a profit, and credited to shipment account in general ledger. Payments on these accounts will be entered in the cash book as net proceeds.

SHIPPER'S TRADING ACCOUNT

46. The trading account of the shipper is made up somewhat differently than for a mercantile business where all sales are supposed to be entered at a profit.

If all his produce is sold through commission merchants, and the inventory of produce in stock exactly equals the difference between purchases and shipments, the account, profit and loss on shipments represents the trading profit. But this state of affairs seldom if ever exists. Either there will have been outright sales or a discrepancy will appear in the inventory. The latter is usually the case in a produce business, for some value will be lost owing to the perishable nature of the goods handled.

The trading account is charged with all purchases and inventory, if any, at beginning of the period, and credited with all shipments and inventory at end of period.

The trading account now exhibits the true trading profits with a complete segregation of profits from actual sales and commission sales. The inventory does not include outstanding shipments, these being treated as a separate item in the balance sheet.

TRADING a/c
To Purchases $10,000 00 By shipments $9,000 00
           
Profit on Sales 465 00 " Inventory 1,465 00
  $10,465 00      
      By Profit on Sales $465 00
69

SAMPLE TRANSACTIONS

47. The following transactions, taken from the books of John Doe, shipper of poultry and butter and eggs, illustrate the books and accounts used.

—Nov. 1, 1908—
 
Commenced business with a    
cash investment of   $1,000.00
 
—1st—
 
Bought for cash    
200# chickens @ .11½ 23.00
100# ducks @ .13 13.00
 
—1st—
 
Bought from    
Henry Meyers    
400# turkeys @ .16 64.00
 
—2nd—
 
Shipped to    
Richard Roe, to be sold on my a/c    
220# chickens @ .11½ 25.30
98# ducks @ .13 12.74
 
—2nd—
 
Ctg. and Exp. on above    
paid in cash   2.25
 
—3rd—
 
Bought for cash    
100 cs. eggs, 3,000 doz. @ .16 480.00
 
—3rd—
 
Shipped to    
Richard Roe to be sold on my a/c    
95 cs. eggs, 2,850 doz. @ .16 456.00
 
—3rd—
 
Sold to Johnson & Sons on a/c    
5 cases eggs, 150 doz. @ .20 30.00
 
70 —4th—
 
Shipped to Richard Roe to be sold    
on my a/c 200# turkeys @ .16 $32.00
 
—4th—
 
Paid freight on eggs to Roe   2.98
 
—4th—
 
Paid freight on turkeys to Roe   1.80
 
—5th—
 
Received from Richard Roe    
Account Sales for Shipment No. 1    
Net proceeds remitted in cash   47.73
 
—6th—
 
Received from Richard Roe    
Account sales for shipment No. 2    
Net proceeds retained by him   518.12
 
—6th—
 
Paid for labor    
cash   9.00

Shipment Book

71

Columnar Purchase Book and Journal

72

Cash Journal for Commission Business

73

Shipper's Purchase and Shipment Ledger

74

Shipper's General Ledger

THE ADMINISTRATION BUILDING OF THE MINNEAPOLIS STEEL & MACHINERY CO., MINNEAPOLIS, MINN.

75

Shipper's General Ledger

76

EXERCISE

48. On a certain date a trial balance of the ledger of Henry Donnely, shipper of produce, stood as follows:

DEBITS
 
Purchases of apples   $1,264.00
Purchases of potatoes   1,500.00
Shipment Ledger Account   736.00
Cash   450.00
 
CREDITS
 
Shipment Account—apples   1,200.00
Shipment Account—potatoes   1,200.00
Profit on Shipments—apples   250.00
Profit on Shipments—potatoes   350.00
Accounts Payable   950.00
 
During a subsequent period, his transactions were as follows:
 
Cash purchases of apples   1,000.00
Cash purchases of potatoes   1,000.00
Shipments of apples   900.00
Shipments of potatoes   1,100.00
Profits on apples   100.00
Profits on potatoes   200.00
Account Sales for which cash was received   1,800.00
Account sales charged to Agts.   600.00
Shipment Ledger Account decreased   100.00
Sundry expenses paid in cash   50.00
 
Inventory at end of period    
Apples 210.00  
Potatoes 190.00 400.00

Prepare trading and profit and loss accounts showing net profits or losses on both apples and potatoes for the entire period represented by the accounts.

77

COMMISSION MERCHANTS' BOOKS

49. The books required by a produce commission merchant are receiving book, cash book, consignment ledger, sales book, sales ledger, journal, and general ledger. If he buys produce to be sold on his own account, he also requires a purchase book and purchase ledger.

50. The Receiving Book. This is usually a rough blotter with ordinary day book ruling, though some merchants use special forms.

When a consignment is received it is given a lot number and entered in this book in the name of the shipper, but without extending the amounts. If any expenses have been incurred, an account is opened immediately in the consignment ledger in the name of the shipper.

51. The Cash Book. On the credit side of the cash book, under the general heading consignment ledger, are three columns, headed net proceeds, expense, and commission. The commission column is a memorandum column only, the total being posted, at the end of the month, to the credit of commission account in the general ledger.

Net proceeds, expense, and commission on each consignment are posted as separate items to the debit of that particular consignment account. At the end of the month, the total of these three columns is posted to the debit of consignment ledger account in the general ledger.

52. Sales Book. The sales book is provided with special columns for sales and consignment sales. The sales column represents sales of the merchants' own goods, the totals being posted at the end of the month to the credit of sales account in the general ledger and to the debit of the sales ledger account.

The consignment sales are listed by lot number and posted to the credit of the consignment accounts. As the lot numbers run consecutively in the receiving book, this furnishes an index to the consignment accounts. The totals of the consignment sales columns are posted to the credit of consignment ledger account, and the consignment ledger column is posted to the debit of sales ledger account.

53. Consignment Ledger. This ledger contains accounts with every consignment received. The accounts are charged with expenses, net proceeds, and commissions from the cash book, and credited with sales from the sales book. If a remittance is not sent with the Account Sales, the necessary entry is made in the journal, 78charging both consignment account and consignment ledger account and crediting the shipper as principal—or bills payable account when a note is sent.

54. Consignment Ledger Account. This is a controlling account which receives its debits and credits from the same sources as do the consignment accounts. Except in the case of journal entries, totals only are posted at the end of the month.

PURCHASE AND SALE OF OWN GOODS

55. When the commission merchant is also a wholesaler, the purchases and sales are treated on the books exactly as they would be if he was not a commission merchant. The books and accounts required are the same as those of any other wholesale merchant.

SAMPLE TRANSACTION

56. The following transactions include the shipments used in the last model set, but treated from the standpoint of the commission merchant.

—Nov. 3, 1908—
Received from John Doe to be  
sold for his account:  
220# chickens  
98# ducks  
Lot No. 1  
 
—4th—
Received from John Doe to be  
sold for his account  
95 cs. eggs, 2,850 doz.  
Lot No. 2.  
 
—4th—
Sold for cash  
100# chickens (Lot 1) @ .16 $16.00
 
—4th—
Sold to Sweet & Co. on a/c  
110# chickens (Lot 1) @ .16 17.60
 
—4th—
Sold for cash  
100# ducks (Lot 1) @ .17¼ 17.25
 
79 —4th—
Paid expense on lot #1 $1.60
 
—4th—
Rendered Account Sales, with  
remittance for Lot #1, commission 3%  
 
—5th—
Sold for cash  
20 cs. eggs., 600 doz., @ .18 (Lot 2) 108.00
 
—5th—
Sold to Gaston & Co., 156 Hammond St.  
20 cs. eggs., 600 doz., @ .20 (Lot 2) 120.00
 
—5th—
Sold to Francis & Gates, 948 37th St.  
30 cs. eggs, 900 doz., @ .19 (Lot 2) 171.00
 
—5th—
Sold to H. B. Niles, 364 Fuller Ave.  
25 cases eggs, 750 doz. @ .19 (Lot 2) 142.50
 
—5th—
Paid expense on Lot #2 7.13
 
—5th—
Rendered account sales for  
Lot #2, commission 3%, crediting  
amount to shippers' account.  
 
—5th—
Received from John Doe to be  
sold for his account  
200# Turkeys  
Lot #3  
 
—5th—
Paid expense on Lot #3 1.25
80

Commission Merchant's Receiving Book, Journal and Sales Book

81

Commission Merchant's Cash Journal

82

Commission Merchant's Consignment and Sales Ledgers

83

Commission Merchant's General Ledger

84

EXERCISE

57. During a certain period a commission merchant transacted the following business:

Purchased goods on his own account $3,000.00
Sold goods on commission 5,000.00
Sold his own goods 2,500.00
Commissions earned 150.00
Received cash for goods sold 6,250.00
Paid expenses on consignments 37.50
Rendered account sales with which cash was  
remitted to cover net proceeds 2,712.50
Rendered account sales on which net proceeds  
were credited to the account of principals 2,000.00
Paid cash on account of goods purchased 2,200.00
Paid cash for sundry expenses 75.00
Inventory of goods owned at the close of the period 800.00

Prepare trading and profit and loss accounts and balance sheet.

STORAGE

58. Storage, as here used, is the business of furnishing storage for merchandise on its way to market until such time as it is sold and delivered to the purchaser. The source of supply and customs of the trade in certain classes of merchandise render the question of storage an important one. This is particularly true of the grain trade. Large buyers of grain, located in important distributing centers which have become the principal grain markets owing to their manufacturing or transportation facilities, locate their buyers in the grain producing sections to buy grain from the producers. At these points are located small grain handling plants or elevators, where the grain is received from the farmers and shipped to the distributing centers.

Here, extensive storage facilities must be provided, that these shipments, aggregating enormous quantities of grain, may be held until the condition of the market is favorable for selling. If it were not for this custom of storage it would be necessary to market all of the grain—except the small quantities stored by the farmers—soon after harvest, which would result in lowering prices to all concerned, from the farmer up.

85These conditions have resulted in the organization of warehousing companies to provide storage for the owners. When grain, or other classes of merchandise, is received for storage a warehouse receipt is issued, and the merchandise will not be delivered without the presentation of the receipt. Warehouse receipts are negotiable and since they are evidence of the ownership of certain merchandise stored in a warehouse, bankers will loan money to the owner and accept the warehouse receipt as security.

Manufacturers and jobbers of certain products also find it necessary to store large quantities of their wares at distributing centers that they may promptly supply the trade. Another reason for this practice is a financial one. When a manufacturer exchanges his wares for a warehouse receipt, he can immediately borrow on its security, thus securing capital to carry on his business until the regular selling season for his particular product.

The merchandise broker and manufacturers' agent sometimes have their own warehouses and combine the business of buying and selling with that of storage and, if they possess sufficient capital, advance money to the manufacturer.

Perishable products handled by the produce commission merchant are also stored in cold storage warehouses, both to preserve them and to hold for more favorable market conditions.

STORAGE ACCOUNTS

59. Storage charges are usually based on a 30 day period, though sometimes for shorter periods, and any period less than a full month is charged for at the 30 day rate.

The storage is frequently charged for the exact time that goods are in the warehouse, that is, the amount is figured for each amount withdrawn. The following example demonstrates this, storage being charged on each quantity withdrawn at the rate of 10c per case per month.

Received Delivered Time Rate Amount
Nov. 15 600 cs. eggs Dec. 10 100 cs. 1 mo. 10c 10 00
                   
      Jan. 6 300 cs. 2 mo. 20c 60 00
                   
      Feb. 14 200 cs. 3 mo. 30c 60 00
          Total     130 00

86This is known as simple storage.

Another method is to charge storage for the average time at a given rate per month of 30 days. This method is most commonly used when receipts and deliveries are frequent, and is called average storage. The following example demonstrates the method.

Date Receipts Deliveries Balance Time Quantity Stored For One Day
Nov. 15 600 cs.   600 cs. 15 da. 9,000 cs.
Nov. 30 200 "   800 " 10 da. 8,000 "
Dec. 10   100 cs. 700 " 27 da. 17,900 "
Jan. 6   300 " 400 " 39 da. 15,600 "
Feb. 14   200 " 200 " 10 da. 2,000 "
Feb. 24   200 " 000 "      
    800 800     30)52,500  
Average for 1 mo. 1,750  
1,750 cs. @ 10¢ $175.00 (Amt. of charges)

SPECIAL RECORDS REQUIRED

60. One of the most important records required is a storage record showing receipts and deliveries. A special form is necessary and should be adapted to the requirements of the particular class of storage business in which it is to be used.

The form illustrated is typical in that it provides for a record of storage of any class of goods handled in packages. The storage charges are always shown so that a statement of the account can be made at any time. At the end of each month the storage charges extended during the month are debited, through the journal, to the personal accounts of the owners. The total of all such storage charges is credited to a storage account in the general ledger.

When there are frequent receipts and deliveries, the owner should be given a detailed statement showing all changes in quantities and storage charges. Such a statement should be a transcript of the storage record. The form illustrated answers the requirements of simple storage.

87

Storage Record

88

Statement of Storage Charges

90

BIRD'S-EYE VIEW OF THE PLANT OF SWIFT & COMPANY, CHICAGO, ILL.

91

SINGLE ENTRY BOOKKEEPING
COMPARATIVE STATEMENTS[3]

SINGLE ENTRY BOOKKEEPING

1. To this point all of the discussions in this work have related to the double entry system of bookkeeping, and all demonstrations have been carried out according to that system. The reason for this is that double entry is the best and the only satisfactory method of bookkeeping; it is the only method that fulfils the important function of bookkeeping by furnishing a true record of the results of all business transactions.

3.  Copyright, 1909, by American School of Correspondence.

It might appear that instruction in keeping books by the single entry method has no place in a modern treatise on bookkeeping; and if our purpose were to teach single entry as a method to be used, this would be true.

Single entry bookkeeping is not recommended as a method to be used in any business.

The only reason for introducing single entry is to show the student how to change a set of books from the antiquated single entry to a modern double entry system. Though inadequate, single entry is still used to some extent. It is more commonly found in small retail establishments, but occasionally encountered in the offices of corporations and manufacturing enterprises. The bookkeeper who is called upon to fill a position where this method is used must know how to keep books by single entry, that he may more clearly demonstrate the advantages of the double entry method.

When the advantages of double entry are demonstrated, few employers will object to a change from single entry. In most offices where single entry is still used, the reasons which have prevented a change may be summed up as ignorance of the double entry method, or a fear that double entry will increase the work without a corresponding benefit. This latter idea is a misconception inherited 92from the days of the old time bookkeeper, who considered it necessary to laboriously journalize every transaction. While it may have possessed some merit at that time, it is no longer true. Modern ideas, improved forms of account books, labor saving devices, and short cuts without number have reduced the labor of bookkeeping to a minimum, and if any attempt at a proof of accuracy is made, double entry actually requires less labor than single entry.

2. Distinctive Features of Single Entry. The distinctive feature of single entry is that only personal accounts are kept. When goods are sold or purchased, records are made of the transactions as they affect the persons to whom sold or from whom purchased. The records do not show the increase or decrease of any specific form of assets, like merchandise, for no property accounts are kept. An account is usually kept with cash, but this approaches double entry, for when a person pays money to the business, cash is debited and the person credited; and when money is paid out, cash is credited and the person debited.

Sometimes, in a set of books otherwise kept by single entry, such accounts as merchandise, expense, and real estate are found, but when such accounts are introduced the books begin to take on double entry features.

3. Books Used. The principal books of a single entry set usually consist of day book or journal, cash book, and ledger. Both the day book and cash book are books of original entry, from which transactions are posted direct to the ledger. Auxiliary books used are order book, bill book, and check book.

The day book or journal is the familiar two-column form, the left-hand column being used for debits and right-hand column for credits.

The cash book has two columns on each page, and these columns are used to separate the items affecting personal accounts, which are to be posted, and all other items, none of which are posted. See illustration.

The ledger is the same form as used in the double entry method.

The order book is usually the regular two-column journal form. In retail businesses it is used as a principal book, transactions being posted from it to the ledger. Sometimes the first column is used for prices, the extensions being made only when the order is filled.

The bill book is quite essential in a single entry set for the reason 93that no Bills Receivable and Bills Payable accounts are kept in the ledger.

4. Rules for Debit and Credit. The rules for debit and credit are the same in single entry as in double entry, except that no debits and credits are recorded which do not effect persons or cash—when a cash account is kept. Briefly, these rules applying to single entry are:

Debit the person
When he receives anything of value;
When you pay him cash.
Credit the person
When you receive anything of value;
When he pays you cash.
Debit cash
When you receive it.
Credit cash
When you part with it.

5. Posting. There is no difference between posting to a single entry ledger and one kept by the double entry method. However, the only accounts posted are personal accounts, and the ledger shows merely how much money the business owes to persons and how much money persons owe the business. A single entry ledger does not show the amount of our notes outstanding, or the amount of other persons' notes held by us. This information can be found only in the bill book. The ledger does not show the value of merchandise purchased or sold, expenses of the business, nor the amount of our investments in land, buildings, or other forms of property.

6. Proprietor's Account. A proprietor's investment or capital account is kept in single entry just as it is in double entry. This may or may not include withdrawals. They may be recorded in a personal or private account, in which case the proprietor's account will exhibit the net investment in the business.

7. Proving the Work. Since but one side of each journal entry is posted, the two sides of the ledger will not agree as in double entry. Hence a trial balance is, strictly speaking, impossible. The only absolutely sure method of checking the accuracy of a single account in the ledger is to carefully check all postings; this is also true of double entry. But it is possible to prove that the correct totals have been posted in single entry, as it is in double entry. Since 94the ledger is never in balance as in double entry, the proof is not found by comparing the two sides of the ledger, but by comparing the difference between the two sides of the ledger, with the difference between debits and credits in the columns of books of original entry from which postings have been made. If the difference between debits and credits in the ledger agrees with the difference between debits and credits in the books of original entry, the work may be assumed to be correct.

To prove the work, first find the balances of all ledger accounts and enter the amounts in the debit and credit columns on journal paper—as for a trial balance. Foot and find the difference between the two columns. Next foot the order book, day book, cash book, or any other books from which posting is done, and list the totals which should be posted to debit and credit of ledger accounts. Foot and find the difference.

SAMPLE TRANSACTIONS

8. For the first demonstration of single entry bookkeeping, we have selected a small retail business, using transactions which have been used to illustrate a double entry set. This set is kept in the most simple manner possible, the books used being journal, cash book, and ledger.

The business is opened by Wm. Webster on the 21st day of November, 190-. He is to conduct a retail grocery business and has rented a store from Wm. Bristol at a monthly rental of $30.00. His resources consist of cash, $600.00; a stock of groceries, $946.50; personal accounts due him as follows: Henry Norton $25.00, L. B. Jenkins $22.70. His liabilities consist of two accounts, as follows: Brewster & Co., $115.20; Warsaw Milling Co., $64.00. The opening entry recording the above, is made in the journal as in double entry, but only personal items are posted. Cash is transferred to the cash book.

CUTTING OFF DEPARTMENT IN THE PLANT OF THE UNION TWIST DRILL CO., ATHOL, MASS.

95
 
—Nov. 21—
Sold to Henry Norton on account  
10# sugar 5½¢ $.55
2 cans corn   .25
1 can peas   .15
3# rice   .30
   
    1.25
 
—21—
Sold to John Smallwood on account  
5# butter   $1.00
4# lard   .50
1 doz. eggs   .25
   
    1.75
 
—21—
Cash sales   14.10
 
—22—
Sold to Harry Webster on account  
7 bars Lenox soap   .25
1 pkg. gold dust   .20
1 pkg. matches   .15
¼ bbl. flour   1.35
   
    1.95
 
—22—
Bought for cash  
10 doz. eggs .21 2.10
 
—23—
Bought from H. Kling & Co. on account  
244# hams .12½ 22.50
201# lard .07½ 15.08
   
    45.58
 
—23—
Sold to F. W. Bradley on account  
2 bu. potatoes   1.60
 
—23—
Sold to C. D. Glover on account  
1 bbl. apples   3.25
5 gal. vinegar   1.25
   
    4.50
 
—23—
Cash sales   13.20
 
96—24—
Sold to A. C. Maybury on account  
1# bkg. powder   $.50
1# corn starch   .10
1# soda   .10
1 pkg. jello   .20
   
    .90
 
—24—
Sold to John Smallwood on account  
2# cheese   .32
1 bottle vanilla   .35
1# coffee   .35
1# tea   .60
   
    1.62
 
—24—
Bought from John Smallwood on account  
100 bu. potato .60 60.00
 
—24—
Paid John Smallwood  
Cash on account   25.00
 
—24—
Cash sales   15.00
 
—25—
Paid Brewster & Co.  
Cash on account   115.20
 
—25—
Sold to L. B. Jenkins on account  
½# pepper   .20
12# ham .14 1.68
   
    1.88
 
—25—
Received from Henry Norton  
Cash   26.25
 
—25—
Cash sales   13.00
 
97—26—
Credited Wm. Bristol  
for one month's rent   $30.00
 
—26—
Sold to Wm. Bristol on account  
11# ham .14 1.54
1 qt. bottle olives   .50
2# coffee   .70
20# sugar .05½ 1.10
   
    3.84
 
—26—
Sold to C. D. Glover on account  
¼ bbl. flour   1.35
1# bkg. powder   .50
7 cks. borax soap   .25
   
    2.10
 
—26—
Paid cash for clerk hire   8.00
 
—26—
Cash sales   18.70
 
—28—
Sold to H. N. Shaw on account  
1 bu. potatoes   .80
1 doz. cans corn   1.50
   
    2.30
 
—28—
Sold to Watkins Hotel Co. on account  
10 bu. potatoes .75 7.50
50# lard .10 5.00
20# ham. .13½ 2.70
   
    15.20
 
—28—
Cash sales   9.45
 
98—29—
Bought from Lowell & Sons on account  
500# sugar .04¾ $23.75
50 gal. molasses .30 15.00
   
    38.75
 
—29—
Bought from Star Salt Co. on account  
10 bbls. salt .80 8.00
 
—29—
Sold to R. H. Sherman on account  
1# coffee   .25
1# chocolate   .45
1 qt. olive oil   1.35
¼# ginger   .15
¼# pepper   .15
1 pkg. mince meat   .10
2# lard   .25
   
    2.70
 
—29—
Cash sales   14.35
 
—30—
Received from F. W. Bradley on account  
Cash   1.60
 
—30—
Paid Warsaw Milling Co. on account  
Cash   64.00
 
—30—
Sold to John Smallwood on account  
1 bbl. salt   1.10
 
—30—
Sold to D. E. Johnson on account  
10# lard .10 1.00
1# bkg. powder   .50
1 pk. apples   .35
   
    1.85
 
99—30—
Bought for cash  
5 bu. apples 1.00 $5.00
 
—30—
Cash sales   17.90

At the close of business, Nov. 30, the ledger is proved, in accordance with the rules given in Art. 7. All open accounts in the ledger are listed on ordinary journal ruled paper and the balances extended to the debit and credit columns. These columns are footed, the total of the credit columns being $1,564.02, and of the debit column, $56.08. Subtracting the latter from the former, we find the difference to be $1,507.94. The total postings—debit and credit—from the journal and the cash book are then entered and added, the total debit postings being $296.44, and the total credit postings, $1,804.38. The former deducted from the latter leaves $1,564.02, which agrees with the difference in the ledger balances. This proves the correctness of the postings to the ledger, and takes the place of the trial balance used in the double entry method.

100

Single Entry Journal

101

Single Entry Journal

102

Single Entry Journal

VIEW IN THE GROUNDS OF THE FORE RIVER SHIPBUILDING COMPANY, QUINCY, MASS.
Showing the Facilities for Handling Material in the Plate Yard and a Typical Arrangement of the Shops. The Great Electric Crane Shown has a Span of 175 Feet, and Travels Over 1,000 Feet of Track. It is Said to be One of the Largest of Its Kind in the World.

103

Single Entry Cash Book

104

Single Entry Ledger

105

Single Entry Ledger

106

Single Entry Ledger

AUTOMATIC MACHINE TOOL ROOM, FOR THE MANUFACTURE OF PARTS FOR ROCK DRILLS, COAL MINING MACHINES, DIAMOND DRILLS, ETC., IN THE CLAREMONT, N. H., FACTORY OF THE SULLIVAN MACHINERY COMPANY

107

Proof of Single Entry Ledger

108

Single Entry Profit and Loss Statement

DETERMINING THE PROFIT

9. Having no nominal accounts, we cannot close through trading account into profit and loss, but must use another method to find the profit or loss for a given period. It will be necessary to first ascertain the present worth of the business. Therefore the first step will be to take an inventory, just as we would if closing a double entry ledger. Our inventory shows merchandise $1,042.77. Next, we will make a statement of assets and liabilities, following the same form as the balance sheet when the books are kept by double entry. This will give us the present worth.

From the present worth, we will deduct the capital investment (or the present worth at the time of making the last statement) which will show the profit for the period. If the present worth is less than the capital investment, the business shows a loss.

It will be noted that while this method shows net profits, it does not show how those profits were made. Having no accounts with purchases and sales, we can have no trading account to show gross 109profits, and without expense accounts there is no data from which to make up a detailed profit and loss statement. Herein is one of the shortcomings of the single entry method of bookkeeping.

CLOSING THE BOOKS

10. To close a single entry ledger, all that is necessary is to credit the proprietor's investment account, or any account representing capital, with the net gain, or debit the account with the net loss. Then rule the personal accounts and bring down the balances.

EXERCISE

On a certain date the assets and liabilities of David Henry are as follows:

Assets  
Cash $450.00
Due from sundry debtors 75.20
Merchandise per inventory 762.50
Liabilities  
Due sundry creditors 144.00

The following transactions are recorded:

Sales to sundry persons on account 44.71
Bought from sundry persons on account 337.54
Sold for cash 94.90
Received cash on account 62.00
Paid cash on account 132.50
Paid cash for rent 35.00
Paid cash for clerk hire 7.00

At the close of the period in which these transactions were recorded, the inventory of merchandise on hand was $987.75.

First. Open single entry books, entering these transactions in the journal and cash book.

Second. Post to ledger using the terms Debtor and Creditor to represent account of customers and those from whom goods were purchased.

Third. Prove the ledger.

Fourth. Make a statement of assets and liabilities.

Fifth. Has there been a gain or a loss, and how does it affect the account of the proprietor?

110

CHANGING TO DOUBLE ENTRY

11. How to change the method of keeping a set of books from single to double entry is an important question to the bookkeeper, for he may be called upon any time to do the work. When once understood, the change involves only very simple entries. The routine may be briefly described as follows:

First. Prepare a statement of assets and liabilities.

Second. Enter this statement in the journal and post to the ledger, debiting all accounts which represent assets and crediting all accounts which represent liabilities. Credit proprietor's account with the difference, which is the present worth.

If a new ledger is to be opened, new accounts will be opened for each form of asset or liability represented in the entry.

If the old ledger is to be used new accounts are to be opened with assets and liabilities not already represented by accounts in the ledger, and the net gain only will be credited to the proprietor's account. Check personal accounts, but do not post.

Third. Take a trial balance to see if the ledger is in balance, as it should be after posting these entries.

EXERCISE

Following the rules given, change the books of David Henry to double entry using the old ledger.

Show necessary journal entry and indicate what new accounts must be opened.

CHANGING PARTNERSHIP BOOKS TO DOUBLE ENTRY

12. We will suppose that the ledger illustrated in the following model set (pages 23-27) represents the business of Benton, Douglas, and Kemp, and that the books have been kept by single entry.

They wish to adopt the double entry method and call you in to make the necessary changes in their books.

Your first step is to make a statement of the ledger accounts, including all except the capital accounts of the partners. This statement gives you the following information:

Personal Accounts, Debit Balances $189.25
Personal Accounts, Credit Balances 2,828.50
Cash in Bank 7,313.73

111You also balance the cash book and compare the balance with the cash in drawer, and find that the amount shown, $21.60, is correct.

In the meantime an inventory is being taken. When completed, the results shown are:

Merchandise $2,114.50
Furniture and Fixtures 2,000.00

The next step is to make a statement of assets and liabilities for the purpose of finding the present worth of the business.

STATEMENT OF ASSETS AND LIABILITIES
 
Assets    
Cash in Bank (Ledger) $7,313.73  
Cash in Office (Cash Book) 21.60  
Personal Accounts (Ledger) 189.25  
Merchandise (Inventory) 2,114.50  
Furniture and Fixtures (Inventory) 2,000.00  
   
Total Assets   $11,639.08
 
Liabilities    
Personal Accounts (Ledger)   2,828.50
   
Present Worth   8,810.58

The capital accounts of the partners show the original investment to have been $9,000.00, which is more than the present worth. Deducting the latter from the former will give the net loss.

Investment $9,000.00
Present Worth 8,810.58
 
Net Loss 189.42

The partnership agreement provides that profits and losses are to be shared equally, but contains no reference to the payment of interest on withdrawals, or allowance of interest on personal credits.

The statement of assets and liabilities is entered in the journal and accounts opened in the ledger with merchandise inventory and furniture and fixtures—the only items not already represented by ledger accounts. To complete the change and balance the ledger the following single entry is made in the journal and posted to partners' personal accounts.

112
James Benton Dr. $63.14
Horace Douglas Dr. 63.14
Henry Kemp Dr. 63.14

A trial balance will now show the ledger to be in balance.

You have followed the routine necessary to change the books of a partnership from single to double entry under the conditions given. A general rule to be followed is to ascertain the present worth, make the partnership adjustment as in double entry, and post as in changing books of a single proprietorship.

EXERCISE

The books of Lancaster, Jenkins, and Stubb have been kept by single entry, but they desire to change to double entry.

The partnership agreement provides that each partner shall share in the profits in proportion to his net investment. Separate accounts are kept with each partner to cover his investment and withdrawals.

The following is a statement of the ledger accounts as they appeared December 31st. The balances of partners' investment accounts are the same as when the last adjustment was made, no additional investments having been made during the present period.

STATEMENT OF LEDGER
 
Lancaster, Investment Credit Balance $2,000.00
Jenkins " " " 1,500.00
Stubb " " " 1,500.00
Personal Accounts " " 900.00
" " Debit " 2,200.00
Lancaster, Withdrawals " " 325.00
Jenkins " " " 250.00
Stubb " " " 175.00
Bank " " " 2,150.00
Cash in office     50.00

An inventory is taken and shows the value of merchandise in stock to be $1,850.00, fixtures $300.00.

First. Transfer debit balances of partners' withdrawal accounts to investment accounts.

Second. Show entries to make the partnership adjustment and to change books to double entry.

Third. Indicate by check (√) what accounts are to be posted, the old ledger being used.

113

Single Entry Partnership Ledger

114

Single Entry Partnership Ledger

115

Single Entry Partnership Ledger

116

Single Entry Partnership Ledger

117

Single Entry Partnership Ledger

118

CHANGING CORPORATION BOOKS TO DOUBLE ENTRY

13. Corporation books are seldom kept by single entry, but such cases are not impossible to find. In Chicago, there is a manufacturing corporation which has been in business for more than twenty years and is doing a business of a quarter million dollars a year, whose books have been kept by single entry. Not until January 1909 was an accountant called in to change their books to a modern double entry system.

In the case cited a capital stock account was kept, and dividends were paid in cash. The routine followed by the accountant was to first take an inventory of machinery, material, supplies, goods in process, and manufactured goods. Then the land and buildings were appraised at their present value. Accounts had been kept with real estate and machinery, but repairs to buildings had been charged to real estate, thus showing a fictitious increase in value, and no depreciation had been charged against machinery. There was also a merchandise account which had been charged with all purchases and credited with all sales, so that it furnished no information of value.

For these reasons only personal accounts, capital stock, bank account, and cash were taken from the books in making up a statement of assets and liabilities. In making this statement capital stock was included as a liability and the excess of assets over liabilities represented surplus.

The statement was entered in the journal and accounts representing each item were opened in a new ledger. The balance was credited to surplus account and the books were in balance. Subsequently, the different expense accounts were opened as the transactions requiring their use arose.

Had the directors insisted, the accountant would have been obliged to enter real estate and machinery at the values shown in the old accounts, but an inventory of merchandise would have been necessary in any event.

A safe rule in changing the books of a corporation to double entry is to make a statement of assets and liabilities, including capital stock in liabilities. Then open the necessary accounts and credit the difference in the statement to surplus account.

119

Journal Entries to Change to Double Entry

In the case referred to the following facts were shown by the books:

Cash in Office $156.72
Cash in Bank 7,264.20
Accounts Receivable 11,978.50
Accounts Payable 9,647.60
Capital Stock 75,000.00

The inventories and appraisals resulted in the following valuations:

Real Estate (Land and Buildings) $38,000.00
Machinery 27,750.00
Material 11,227.60
Supplies 648.50
Goods in Process 3,984.70
Manufactured Goods 5,290.00

A cost system was desired by the management, consequently in opening new books it was necessary to provide for the needed accounts. The complete entries used to change these books from single to double entry are shown in the model journal illustrated, page 29.

120

Ledger After Changing to Double Entry

121

Ledger After Changing to Double Entry

122

EXERCISE

The books of the Star Coal Company, a corporation with a paid-up capital of $10,000.00, have been kept by single entry. The following facts are gathered from the books:

Cash in Bank   $3,500.00
Personal Accounts Debit Balances 6,500.00
Cash in Office   200.00
Personal Accounts Credit Balances 2,500.00

An inventory results as follows:

Coal 3,750.00
Horses and Wagons 800.00
Furniture and Fixtures 300.00

Make necessary journal entries to change to double entry. Provide a reserve of 5% for uncollectible accounts, 10% for depreciation of horses and wagons, 10% for depreciation of furniture and fixtures. Declare a dividend of 10% and transfer balance of profits to surplus, making all journal entries to record these transactions.

TWO HEMISPHERICAL BOTTOMS FOR 100,000-GALLON ELEVATED TANKS RIVETED TOGETHER, SHOWING CLASS OF WORKMANSHIP NECESSARY ON WORK OF THIS CHARACTER
Chicago Bridge & Iron Works, Chicago, Ill.

123

TRIAL BALANCES AND COMPARATIVE STATEMENTS

14. The construction of comparative statements is one of the most important duties of the bookkeeper. The ability to properly classify the accounts that make up trading and profit and loss statements, and balance sheets is a valuable asset to the bookkeeper who aims to advance to the highest position.

Statements of this kind, unless properly classified, are unintelligible to the average business man. A mere statement of the balances of the ledger accounts arranged without respect to their relationship, one to the other, may show that the ledger is in balance, but does not present information of special value to the manager of a business. What he wants—and expects—is a statement from which he can readily extract desired information; it must emphasize the salient points.

The classification of accounts has already been touched upon, but no harm will be done by placing still greater emphasis on the importance of this feature. For with the right classification of accounts in the ledger, the trial balance itself will supply some very interesting information, instead of being a mere list of balances. The following rules should be observed in the arrangement of accounts in the ledger.

All asset accounts should be assembled in the first section and grouped according to their classification; i. e., active, fixed, and passive or fictitious.

The liabilities should be divided into secured or funded, unsecured or floating, and capital; the latter includes any reserve accounts that may be maintained.

The expense accounts should follow and should be subdivided as to selling, general, and administrative.

The trading accounts should be grouped and divided into purchases, in-freight, and sales.

If a manufacturing business, the manufacturing accounts should be divided as to purchases, labor, and expenses.

The advantages of card and loose leaf ledgers are apparent in connection with the proper arrangement of accounts. They readily lend themselves to any desired classification, and new accounts as needed can be inserted at any point.

124For the purpose of showing some of the possibilities in the classification of accounts, we give a few examples of model trial balances.

TRIAL BALANCE
 
Assets
Cash $264.20  
Bank 4,728.50  
Accounts Receivable 6,270.00  
Inventory (Jan. 1) 7,860.00  
Real Estate 10,000.00  
Furniture and Fixtures 5,000.00  
 
Liabilities
Mortgage Payable   $3,000.00
Bills Payable   5,000.00
Accounts Payable   6,120.00
Capital Stock   20,000.00
 
Profit and Loss
Advertising 475.00  
Salesmen's Salaries 300.00  
Traveling Expenses 189.70  
General Expense 74.00  
Interest and Discount 22.60  
Building Maintenance 37.00  
Taxes and Insurance 42.00  
Salaries 525.00  
 
Trading
 
Purchases 5,500.00  
In-Freight and Cartage 96.20  
Sales   7,219.00
 
  41,361.60 41,361.60

If the accounts in this trial balance were listed without regard to the groups in which they belong, it would merely show that the ledger balances. In its present form, it gives at a glance much valuable information. Total expenses and expenses of each class are readily ascertained, sales are shown, and expenses can be compared with sales. With the exception that it does not show the changes in the 125account of the inventory, this trial balance exhibits the condition of the business.

Supposing that an inventory is taken, the following statements are quickly prepared.

BALANCE SHEET
Assets
Cash $264.20  
Bank 4,728.50  
Accounts Receivable 6,270.00  
Inventory (Feb. 1) 7,995.00  
Real Estate 10,000.00  
Furniture and Fixtures 5,000.00  
 
Liabilities
Mortgage Payable   $3,000.00
Bills Payable   5,000.00
Accounts Payable   6,120.00
Capital Stock   20,000.00
Surplus   137.70
 
  34,257.70 34,257.70
 
TRADING STATEMENT
Inventory (Jan. 1) 7,860.00  
Purchases 5,500.00  
In-Freight 96.20  
   
  13,456.20  
Less Inventory (Feb. 1) 7,995.00  
   
  5,461.20  
Sales   7,219.00
Gross Profit 1,757.80  
 
  7,219.00 7,219.00
 
 
PROFIT AND LOSS STATEMENT
Gross Profit   $1,757.80
Advertising $475.00  
Salesmen's Salaries 300.00  
Traveling Expenses 189.70  
General Expense 74.00  
Interest and Discount   22.60
Building Maintenance 37.00  
Taxes and Insurance 42.00  
Salaries 525.00  
Net Profits 137.70  
 
  1,780.40 1,780.40
 

126The facts that sales were $7,219.00, or that the expense for salesmen's salaries was $300.00 mean nothing in themselves. It is only when compared that they exhibit vital facts. If we find that last month's sales were $8,400.00 and salesmen's salaries the same as this month, we know at once that our present selling cost is proportionately higher than during the preceding period.

The following trial balance should be compared with the preceding and the difference in their values, in respect to the information given, carefully noted. The accounts in this trial balance are arranged in the order in which they were found in the ledger.

TRIAL BALANCE
Dr. Cr.
Capital Stock   $30,000.00
Sales   45,411.40
Accounts Receivable $7,190.00  
Accounts Payable   2,720.00
General Expense 727.00  
Salesmen's Salaries 3,000.00  
Salaries, General 3,600.00  
Interest and Discount   126.70
Returns and Allowances 942.20  
Inventory 9,687.00  
Purchases 26,250.00  
In-Freight $396.40  
Bank 6,470.00  
Traveling Expense 1,759.00  
Taxes and Insurance 236.50  
Real Estate 25,000.00  
Fixtures 3,000.00  
Surplus   10,000.00
 
  88,258.10 88,258.10
 
127

Fig. 15-a. Working Balance Sheet

128

WORKING BALANCE SHEET

15. A form much used by accountants combines the trial balance with the balance sheet, trading and profit and loss statements. The compilation of the information required for this form is greatly facilitated by a proper classification of accounts in the ledger. The form is known as a working balance sheet.

A working balance sheet is shown in Fig. 15 a. The figures used are taken from the last trial balance shown, and furnish a graphic illustration of the difference between proper and improper classification of accounts. It will be noticed that the first two columns constitute the trial balance. Following this are columns which classify the accounts under the headings of Trading, Profit and Loss, and Balance Sheet. The balance of each account is extended to its proper group.

At the bottom of the form, trading and net profits are extended as a memorandum only. Since no inventory has been taken these figures are not exact, but represent approximate results on the supposition that the inventory would be practically the same as when the last inventory was taken. Of course, if there was a noticeable change in the quantity of merchandise in stock, an estimate would be made and taken into consideration in making this statement of probable profits.

EXERCISE

From the following trial balance, prepare a working balance sheet showing actual gross and net profits.

129
TRIAL BALANCE
Bank $8,460.00  
Capital Stock   $25,000.00
Sales   11,201.00
Purchases 10,000.00  
Returns and Allowances 400.00  
Interest and Discount earned   260.00
General Expense 425.00  
Salaries 360.00  
Rent 300.00  
Taxes and Insurance 37.60  
Selling Expense 421.00  
Inventory (Jan. 1st) 8,864.00  
Fixtures 2,500.00  
Accounts Receivable 5,680.00  
Accounts Payable   1,274.00
Cash in Office 287.40  
 
  37,735.00 37,735.00
Inventory (Feb 1)   9,650.00

COMPARATIVE STATEMENTS

16. The trial balances shown in the preceding pages illustrate some of the advantages of properly classified accounts. The information gained can be made of still greater value by the construction of comparative statements; for, as has been stated, the chief value of many of the figures shown lies in the opportunity for comparisons. Statements which permit of comparison of items of a like nature from month to month furnish a valuable survey of the progress of the business.

The following is a trial balance taken from the books of a manufacturing business, and will be used as a basis for the construction of comparative statements.

TRIAL BALANCE
 
  Dr. Cr.
Cash in Office $162.50  
Bank 8,500.00  
130Accounts Receivable 7,500.00  
Bills Receivable 4,500.00  
Inventory, Materials (Jan. 1) 9,500.00  
Inventory, Manufactured Goods    
(Jan. 1) 6,000.00  
Real Estate 20,000.00  
Machinery and Tools 17,500.00  
Furniture and Fixtures 3,500.00  
Bills Payable   $7,000.00
Accounts Payable   5,000.00
Capital Stock   50,000.00
Surplus   10,000.00
Undivided Profits   900.00
Advertising 1,200.00  
Salesmen's Salaries 1,000.00  
Salesmen's Expenses 720.00  
General Expense 430.00  
Interest and Discount   97.50
Salaries Administrative 900.00  
Factory Expense 850.00  
Factory Labor 1,750.00  
Repairs to Machinery 150.00  
Depreciation 175.00  
Taxes and Insurance 25.00  
Material Purchases 4,600.00  
In-Freight and Cartage 126.00  
Sales   16,491.00
Returns and Allowances 400.00  
 
  89,488.50 89,488.50
 

In Fig. 16 a. is shown a working balance sheet in which the accounts as found in the trial balance are segregated in the four groups, Manufacturing, Trading, Profit and Loss, and Balance Sheet. First, the trial balance is entered in the two columns at the left. Next, the manufacturing account is made up by extending the inventory of material at end of preceding period, the manufacturing expense accounts, material purchases and freight on same. This gives the 131total charges to manufacturing account, but not the month's expenditures, for the present inventory of material must be considered. An inventory shows the value of material in stock to be $4,550.00. Deducting this leaves $12,626.00, the total operating cost for the month. To find the cost of goods completed during the month an inventory is taken of work in process, the amount is deducted from the total operating cost and the result, $9,126.00, represents cost of goods manufactured.

The trading account is now made up, this $9,126.00 taking the place of purchases, and the gross profit is carried to profit and loss account.

The manufacturing, trading, and profit and loss accounts are now ready for analysis, which is made on a percentage basis. In the analysis of the manufacturing account, the total operating cost is used as a basis and the different items of manufacturing cost are figured on this basis. We find that the expense items are 23.3% and the material 76.7% of the total which furnishes a tangible basis for a comparison of the same items in other months. Having the percentage of each item, we can note the fluctuations from month to month, and know where to retrench if any item appears to be increasing too rapidly.

The basis of the analysis of the trading and profit and loss accounts is the turnover. Figuring on this basis, we find the total expenses, exclusive of manufacturing costs, to be 41% of the turnover, and the net profit, 20%. The gross profit is 60% of the turnover. Ordinarily the total expense and net profit would equal the gross profit, but in this case there is a capital profit of $97.50 from interest earned.

Sometimes these comparative percentages are figured on the gross sales, but the turnover is considered the proper basis, for it is less subject to marked fluctuations. The sales in one month may show abnormal profits, while in the next these profits may return to normal. If based on sales, the cost percentages would fluctuate accordingly, when in reality they may have remained stationary.

PROOF WITHOUT A TRIAL BALANCE

17. A comparison of the accounts in the last trial balance with the working balance sheet shows them to be arranged in the order in which they would appear in the balance sheet and profit and loss statements.

132

WORKING BALANCE SHEET

133

Fig. 16a. Working Balance Sheet for a Manufacturing Business

134It should be remembered that manufacturing and trading accounts are subdivisions of the profit and loss account, and that the profit and loss account is a statement of income and disbursements including differences in inventories.

If it is desired to show the actual condition of the business at the end of each month, the inventory must be added. There may be objections to actually closing the books each month, but the complete statement can be made by adding the current inventories as shown in the working balance sheet illustrated. The amounts of these inventories and the gross and net current profits are, in such cases, memoranda only. The inventories may be arbitrary estimates, and while the results shown may not be exact they will be found of value for purposes of comparison; and care in estimating inventories will greatly increase their value.

Reference to our working balance sheet shows that the profit and loss statements—with current inventories added—agrees with the balance sheet in one respect. The current profit exactly agrees with the difference between assets and liabilities as shown by the balance sheet.

To prove the ledger without the usual trial balance these rules should be followed:

First: Make up trading and profit and loss statements, taking balances direct from the ledger accounts, deducting current inventories.

Second: Make up balance sheet using current inventories in listing assets.

If the current profit and loss agrees with the difference between assets and liabilities the ledger may be assumed to be in balance. This is, in effect, a sectional trial balance, since the accounts in the trial balance are all represented in the two statements. The reliability of this proof is not affected by the fact that the inventories are arbitrary—and perhaps inaccurate—since the same amounts are used in both the balance sheet and profit and loss statement.

BOOK INVENTORIES

18. To make the foregoing plan still more effective, perpetual inventories should be carried in the ledger. A perpetual or book 135inventory is an account showing the value of merchandise received, sold, and on hand. If an accurate account is kept of merchandise received and sold, the perpetual inventory will show the amount that should be in stock. To prove the accuracy of the account, it is necessary to take an actual inventory of the merchandise in stock, just as it is necessary to count the cash before we can know that the amount on hand agrees with the cash account.

A detailed perpetual inventory should be kept on cards or in a loose leaf book. A card or sheet is used for each article or class of material carried in stock. The sheets or cards should be arranged alphabetically according to the names of the articles. To make the system effective one person should have charge of these records and no goods should be taken from stock without an order or other proper record.

At the end of the month the receipts will be shown by the purchase accounts. The deliveries will be tabulated from the cards, and the necessary adjustments made on the ledger account. Adjustments should be made by journal entry debiting inventory accounts and crediting trading account for increase in inventory, and vice versâ for decrease in inventory.

Fig. 18 a. is a typical form of stock ledger sheet for a loose leaf book. The form should in all cases be made to suit the requirements of the business in which it is to be used.

Fig. 18 b. is a card form of stock ledger which gives more detailed information about the article in stock. On the top line is recorded the name of the article, size or kind, where kept, and date of verification of the record. The second line gives the unit and maximum and minimum limits. The unit represents the unit in which the article is bought—as pounds, tons, dozen, feet, yards, etc. It is customary to establish a minimum limit, below which the stock is not allowed to go before re-ordering, and a maximum limit of a quantity sufficient for the needs of the business. The record of receipts and disbursements includes a detailed record of cost, including freight and cartage, and columns for costs per unit. This makes it possible to calculate the value of the stock in hand without referring elsewhere for prices.

In some lines of business it is possible to ascertain the quantities sold, at the end of each month, from the sales records. This 136applies where an article is sold in but one grade or size, and necessitates keeping sales records which show sales of each article. An example is the coal business. For such a business a card like the one shown in Fig. 18 c. can be used to good advantage. This provides for a monthly record of purchases and sales.

Fig. 18 a. Loose Leaf Stock Ledger

In this illustration the manner of indexing is shown. The cards are first arranged alphabetically under the names of the articles. If there is more than one size, the cards bearing the records of a certain article are filed in the order of their sizes. Indexed in this manner any card that may be desired is quickly found.

Fig. 18 b. Stock Ledger Card

137

Fig. 18 c. Stock Ledger Card and Indexes

DEMONSTRATION OF PROOF WITHOUT A TRIAL BALANCE

19. Taking the accounts in the following trial balance, a model ledger is illustrated which demonstrates the manner of proving the ledger without the aid of the conventional trial balance. It is assumed, of course, that a book inventory or stock ledger is kept, and in this demonstration the figures showing the change in inventory are used. Only the ledger is illustrated, it being expected that the student will understand the necessary journal adjusting entries.

TRIAL BALANCE
 
Cash in Office $575.00  
Bank 8,750.00  
Accounts Receivable 8,871.00  
Bills Receivable 5,000.00  
Inventory (Jan. 1) 12,500.00  
Furniture and Fixtures 2,250.00  
Bills Payable   $4,000.00
Accounts Payable   3,325.00
138Capital Stock   $25,000.00
Purchases $6,750.00  
Sales   15,000.00
Advertising 960.00  
Salesmen's Salaries 450.00  
Traveling Expense 190.00  
Office Expense 46.50  
Office Salaries 225.00  
General Expense 34.20  
Rent 175.00  
Taxes and Insurance 21.30  
Discounts Allowed 47.90  
Interest Paid 33.10  
Interest and Discount Earned   54.00
Administrative Salaries 500.00  

On Feb. 1st the inventory shows a decrease of $3,500.00. A reserve of 3% on accounts receivable is to be created to provide for uncollectible accounts. To make these adjustments the following journal entries will be required:

Trading a/c 3,500.00  
To Inventory   3,500.00
Decrease in Inventory    

A study of this entry will show that the result is the same if we make up the trading account by using purchases and adding or subtracting the decrease or increase in inventory, or if the preceding inventory is added and present inventory is deducted. The result in either case is the turnover and the above entry makes the necessary adjustment in the inventory account without closing the account through the trading account.

The entry for the reserve for uncollectible accounts is

Profit and Loss 266.13  
To Reserves   266.13
Reserve of 3% to provide    
for uncollectible accounts.    

At the end of the next month this account will be adjusted by charging or crediting the amount necessary to maintain the total at the desired percentage of accounts receivable.

UNDERWOOD TYPEWRITERS USED IN MELBOURNE UNIVERSITY COMMERCIAL EXAMINATIONS

139

Ledger with Accounts Classified

140

Ledger with Accounts Classified

141

Ledger with Accounts Classified

142

Ledger with Accounts Classified

143

Ledger with Accounts Classified

REVERSE OR SLIP POSTING

20. To feel absolutely sure that his work is correct is the ambition of every bookkeeper. The fear that an error will throw his books out of balance is always present, and is only dispelled when the ledger is proved at the end of the month.

Accountants, bookkeepers, and mathematicians have long searched for an infallible rule or method of checking which would detect an error as soon as it is made. No system could possibly prevent the making of an error, but if detected, an error is quickly corrected. Numerous formulas and checking systems, designed to detect errors in posting, have been put on the market from time to time. Each has been advertised as the only infallible system. All have been eagerly purchased, tried more or less faithfully, and, as a rule, speedily discarded.

Modern methods of bookkeeping have done more to aid in the detection of errors in posting than all of the checking systems combined. The sectionalization of accounts not only facilitates the detection of errors, but greatly minimizes the chances of their being made. As an illustration take a sales ledger which is subdivided into two or more parts, with special columns in cash book and sales book, and controlling accounts for each section. If the individual balances taken from the sales ledger do not agree with the controlling accounts, it is seen at a glance in which section the error has been made. Instead of a search through all postings to sales ledger accounts, it is only necessary to check postings to that particular section.

144

Ledger Proof Without a Trial Balance

145Errors in posting to nominal accounts are minimized by special columns in cash book, sales book, and purchase record, with one posting at the end of the month, in place of a posting for each item entered.

But still, errors are and always will be made in posting, and for the bookkeeper who has a large number of accounts to post and wishes to keep a constant check on his work, the reverse posting or slip posting system will give satisfactory results with little labor.

Fig. 19. Monthly Posting Proof Sheet

This system is very simple, and easily operated. It consists of the use of a slip of paper with debit and credit columns in which accounts posted to the ledger are entered. A separate slip is used for each book from which postings are made, and the items are posted to the slip from the ledger. The slip should be placed on the desk on the opposite side of the ledger from the book of entry.

If posting is from the sales book, the ledger should be placed to the right of the sales book and the slip to the right of the ledger. After the item is entered in the ledger it is posted to the slip. When the work is completed the slip is footed and compared with the footing of the sales book. If the footings agree, it is quite evident that the correct amounts have been posted to the ledger, for it is scarcely possible that an incorrect amount has been posted to the ledger and the correct amount entered on the slip.

A further daily proof may be had by inserting a blank slip of paper in the ledger wherever an item is posted. At the end of the day these ledger accounts are referred to, the amounts are drawn off, and total postings compared with the totals of the checking slips from the different books.

146When postings are not checked daily a form should be prepared to which daily totals will be carried. Columns are provided for each book from which posted, and these are footed at the end of the month and compared with the footings of the books. If the ledger does not balance a comparison of this proof slip with the column footings of the books will show in which book the error has been made. The form of the monthly proof slip is illustrated in Fig. 19.

SPECIAL ACCOUNTING FORMS

21. Bookkeeping, if it is to fulfil its mission, must furnish a complete record of the transactions of a business. The record must show, as well, the results of each transaction or class of transactions, with respect to their bearing on the business as a whole, or on specific sections or departments of that business. From a mere record of personal debits and credits, bookkeeping has grown into a detailed history of a business.

The principles of bookkeeping are the same regardless of the nature, size, or condition of a business. But different businesses require different kinds of information; vital facts in one business may be valueless in another. The success or failure of each depends upon certain elements which must be recorded in its history. It is the work of the bookkeeper to record these facts—to write the history of the business in language that will be understood by anyone who may read it.

Laying out the business history is the work of the accountant. He makes an analysis of those elements which bear on the success of the business, and determines what facts, when properly recorded, will furnish the clearest and most understandable history. And when he has determined what facts should be recorded he must plan how they are to be recorded—in what form they will present the most concise history of business transactions. His work should result in a system of bookkeeping that will present the most vitally important information, with a minimum expenditure of labor.

The increasing demand for more intelligible records—for facts—has stimulated the ingenuity of accountants in devising forms that will not only accommodate the records desired but will permit of their being made with the least labor. Special forms exactly suited to 147the records which they are to contain, are now made for every purpose. Labor-saving devices and methods have minimized the drudgery of bookkeeping.

The bookkeeper who would rise above mediocrity requires something besides the ability to record business transactions in the proper columns of books prepared for him. He must know how to devise forms and books, how to adapt correct principles to the building of a system of bookkeeping for any line of business. If certain facts assume importance, he must know how those facts can best be obtained and recorded.

To assist in familiarizing the student with the more modern methods, this section is devoted to illustrations and descriptions of special forms of books for various purposes. The student should devote careful study to these forms, for while they have been in the main devised to meet special conditions, the principles can be adapted to any line of business where similar conditions exist.

SPECIAL LEDGERS

22. Loose Leaf Ledgers. A loose leaf ledger is one in which the leaves are removable. Instead of the sheets being bound in solid book form, each leaf is a separate sheet ruled for one ledger account. The sheets are filed or bound in what is known as the binder, being securely held in place by a mechanical device. The binder can be locked so that only the person holding the key can insert or remove the sheets.

The loose leaf ledger is indexed either numerically or alphabetically. When the numerical method is used the sheets are numbered and placed in the binder in numerical order which gives the same arrangement as a bound book. A separate index is required with the numerical method. The alphabetical method of indexing necessitates the use of sheets on the edges of which are tabs or projections printed with the letters of the alphabet. These index sheets are placed in the binder in alphabetical order and the ledger sheets are placed between them. The alphabetical method is preferred by many as it makes the ledger self-indexing. Another method of indexing is a combination of the alphabetical and numerical. The alphabetical index sheet is used, and under it are filed all accounts of persons whose names begin with that letter. These sheets are numbered 148Account No. 1, No. 2, etc., and the names are written on the index sheet, followed by the account number. This practically divides the ledger into separate numerical ledgers for each letter of the alphabet.

Fig. 20. Loose Leaf Ledger

Binders for loose leaf ledgers are made to hold from a few sheets up to one thousand or more. By proper arrangement of the indexes, more than one ledger can be accommodated in one binder. As an illustration, the general, purchase, and sales ledgers, each with its separate index, may all be in the same binder.

One of the chief advantages of the loose leaf ledger is that all "dead" matter can be removed. When a sheet becomes filled, it can be removed to another binder called a transfer binder, and a new sheet put in its place. Or if the account be permanently closed, it is transferred, leaving only live accounts in the ledger. When new accounts are to be opened, it is only necessary to insert additional sheets. There is no transferring of all accounts from one ledger to another as with bound books, for the loose leaf ledger is never filled. If the number of sheets increases beyond the capacity of the binder, the ledger can be divided by transferring a part of the sheets to a new binder.

The ruling of loose leaf ledger sheets is the same as in bound books, the forms usually being made to fit the business. A sheet with a conventional form of ruling is illustrated.

23. Card Ledgers. For certain classes of accounts, the card ledger is very desirable. It is well adapted for a sales ledger in a business having a large number of customers, and especially so if the 149nature of the business is such that the purchases of a customer are infrequent. In many businesses handling a single line of goods known as seasonable, sales are made in the spring and fall so that a customer purchases practically an entire year's supply in two orders.

Fig. 21 a. Ledger Card for Dentists

The card ledger is largely used in banks for keeping accounts with depositors in the savings department. A card 5 inches x 8 inches in size gives room for forty items on each side, and for the average savings account will last more than two years.

Some advantages claimed for the card ledger are:

First: Dead records are eliminated, as filled cards and closed accounts are transferred to a separate file, leaving only open accounts in the current file.

Second: It can be expanded to any size, which makes it ideal for business with a large number of customers. The opening of a new account, or re-opening of a closed account, is accomplished by merely dropping a card in the right place.

Third: The labor of making trial balances is greatly reduced, as there are no closed accounts to refer to in the current file.

Fourth: Statements can be mailed much earlier as the cards can be distributed among several clerks who can be working on them at the same time.

Fifth: The ledger can be subdivided as desired by the use of proper index cards. When one drawer or tray is filled, a part of the 150cards can be taken out and placed in another tray without disturbing their arrangement.

There are two general plans of indexing the card ledger—alphabetical and numerical. The alphabetical method consists of a set of guide or index cards between which the cards are filed. This index may consist of one index for each letter of the alphabet, a smaller number with two or more letters on one index, or a much larger number subdividing the alphabet into as many parts as may be necessary. In planning an index for a card ledger, a safe rule to follow is to provide one index card for every ten ledger cards.

Fig. 21 b. Ledger Card for Publishers

A subdivision of the alphabetical index is the geographical or territorial. This divides the ledger by states and towns. Guide cards, printed with the names of the states, provide the main division; other guides, printed with names of towns, subdivide the state sections; and where necessary, alphabetical guides subdivide the names in the towns. If desired, the ledger may be divided into territorial sections, as East and West; or each section may include the territory covered by one salesman.

A numerical index divides the cards by tens and hundreds. Guide cards numbered by hundreds—100, 200, etc.—provide the main divisions. Between these are placed guides numbered 10, 20, 30, etc. to subdivide these sections by tens, and the ledger cards are filed in numerical order between these guides. To facilitate locating any number desired, the cards themselves are made with small projections numbered from 0 to 9 to represent the units. Each card bears one tab, and all tabs bearing the same unit are in the same 151relative position on the card; that is—0 is always at the extreme left, while 9 is ten positions to the right. When the cards are placed in numerical sequence, between the guides numbered by 10's, any number can be found instantly. To find number 2,987, we refer first to the main guide number 29, then to the guide numbered 8—in the section between 29 and 30—and then to the number 7 tab next following. As there are never more than one thousand cards in a tray, any number can be found more quickly than in a bound book. If a card is misplaced in filing, the unit tab will greatly assist in locating the missing card. Suppose card No. 964 is missing; a search through the row of No. 4 tabs will locate it, no matter where filed. With this system of filing, a separate index by name is required, and this also is made on cards. For a very large ledger the numerical system is more frequently adopted than the alphabetical.

Fig. 21 c. Balance Form of Ledger Card

It is claimed that the numerical tab scheme affords one safeguard not found in an alphabetical system. A missing card is at once detected by the break in the row of tabs, but to make the safeguard of value it is necessary to leave the cards in the file even after accounts are closed.

There is no good reason why an alphabetical card ledger should not be as safe as the numerical. If it is desired to guard against the removal of one card and the substitution of another, the blank cards should be placed in the custody of one man, who will issue them to the bookkeeper as needed, first placing his initials on the card. In any event, the card ledger should be provided with a locking device 152which will prevent the removal of a card, except by the one who has the key.

These suggestions may be of assistance to the bookkeeper who is called upon to use a card ledger.

Never leave ledger cards lying on the desk. When you leave your work, put them back in the file, where they belong.

Before leaving the office, lock the ledger so that no one can remove a card in your absence.

If your superior asks you to see a certain ledger account, do not give him that one card. He may lose it. Give him the entire tray, with the cards securely locked. Should he insist on having that one card, ask him to give you a receipt for it.

Some special forms of ledger cards are illustrated. Fig. 21 a. is a form used by a dental supply house. The special feature of the form is a separate column for each different class of goods purchased by the customer. Fig. 21 b. is used by a publisher for advertising accounts. Fig. 21 c. is a conventional balance ledger form adapted for use in almost any line of business.

24. Tabular Ledger. This is a ledger in which the names are written down the side of the page, with debits, credits, and balances extending across the page. Columns are arranged to group entries during uniform periods, as a month, week, or day. A special feature of this style of ledger is that it can be more quickly balanced and proved than any other style. To prove this ledger add the balances at the end of the preceding period to the debit postings of the current period. This will equal the total of the credit postings added to the new balances, if the balances have been correctly extended. The postings to all of the accounts on a page—30 to 40—can be footed at one operation, saving much time.

Fig. 22 a. is a form of a tabular ledger used by banks, known as the Boston bank ledger. It is specially arranged to exhibit daily balances, as it is necessary that the depositor's ledger be balanced daily. This form can be used in a mercantile business, but as balances are not required daily, the form shown in Fig. 22 b. is better adapted to the purpose. These tabular forms of ledgers are not commonly used except in banks.

25. Balance Ledgers. Three forms of balance ledgers are illustrated, each one of which is specially adapted to some particular class of business.

153

Fig. 22 a. Boston Bank Ledger

Fig. 22 b. Commercial Tabular Ledger

154The special feature of Fig. 23 a. is two credit columns—one for cash and one for merchandise returns. This form is favored in certain lines of business where merchandise returns are frequent. A special column serves to separate returns of merchandise sent out on approval, which in some businesses is an important item.

Fig. 23 a. Ledger with Special Credit Columns

Fig. 23 b. is provided with two balance columns, for debit and credit balances. This form saves time in taking trial balances, as it is seen at a glance whether the balance is a debit or a credit.

Fig. 23 b. Balance Ledger

The feature of Fig. 23 c. is several credit columns to one debit column. This form is largely used where sales are made subject to periodical payments. It is well adapted for installment accounts, rent accounts, insurance accounts, and similar classes. The number of credit columns can be extended indefinitely to meet existing conditions.

THE PRUDENTIAL BUILDING
One of Buffalo's Best Office Buildings

155

Fig. 23 c. Balance Ledger for Installment Accounts

CASH BOOKS

26. Since the almost universal adoption of special forms of sales books, purchase books, and check registers, the journal proper is only used for adjusting entries. The cash journal, which is a combination of cash book and journal, has taken the place of the two books. Some forms of this book have been illustrated earlier in this text, and a typical form is shown in Fig. 24 a. A study of this form will be found instructive as it suggests the many possibilities of segregating distinct classes of receipts and expenditures. Note the segregation of charges to manufacturing, selling, and administrative branches of the business. Under each branch the different kinds of expense might be shown with all their subdivisions by providing additional columns.

In fact, as we have already stated, there is no end to the possibilities of segregating different classes of transactions by means of the columnar principle in designing books of entry. But it may not be out of place to sound a note of warning against increasing the size of the pages of a book beyond a reasonable limit. While the saving of time is the important factor that influences the introduction of columnar books, there has grown up a tendency to go to such extremes that the unwieldy book defeats this very purpose.

156

Fig. 24. Cash Journal—Left-Hand Page

While the "sundries" columns in the form shown render possible the making of any kind of adjusting entries in this cash journal, we recommend that it be reserved for cash transactions and that all adjusting entries be made in an ordinary journal. This will segregate cash transactions, just as sales and purchases are segregated, and render much easier an audit of the books. The journal of the ordinary type also affords abundant space for explanations which should be exceptionally complete for adjusting entries. Entries of this kind are frequently used to cover up fraud and they are sure to receive the careful attention of the auditor.

Fig. 24. Cash Journal—Right-Hand Page

157

TABULAR SALES BOOKS

27. In no department of a business are tabulated records of greater value than in the sales department, for only by studying the records of sales of different classes of goods or of different departments can a manager determine which departments of his business are most profitable. A tabular sales book makes it possible to record sales in detail with very little additional labor, resulting in greater economy of time in collecting valuable data.

Fig. 25 a. Tabular Sales Book

In certain lines of business a record of quantities of different kinds of merchandise sold is of almost equal value to records of values. Examples are—wholesale coal business, in which records are kept of quantities and values of different grades and sizes or the product of different mines; lumber, in which sales are divided as to lumber, lath, shingles, sash, and doors; wholesale paper, in which some of the divisions are book, flats, bonds, cover, etc. A sales book designed for a business of this class is shown in Fig. 25 a. This is arranged for a record of sales in a coal business, segregating sales of the product of each of three mines.

There are businesses in which returns and allowances are so frequent as to constitute an important item in the record of transactions. Such cases demand special columns in either journal or sales book. Another condition occasionally met with is where purchases are frequently made from customers, resulting in accounts in both ledgers. This requires journal entries to adjust the accounts, but instead of making these in the regular journal, special columns can be provided for the purpose in the sales book. Fig. 25 b. illustrates a sales 158journal with columns for returns and allowances, and columns for purchase adjustments. The total of these adjustment columns are posted to the sales ledger controlling account.

Fig. 25 b. Sales Journal with Adjustment Column

Sales recapitulations are of very great importance in department stores and similar businesses where it is desired to ascertain the total sales of each sales person as well as the result by departments. In Fig. 25 c. is shown a sales recapitulation sheet arranged for daily records of sales of each clerk and of each department. All sales tickets are lettered or numbered to indicate the clerk, and at the end of the day these tickets are tabulated by numbers. One of these recapitulation sheets is used for a month's record, and it can of course be designed to accommodate as many departments and clerks as there are in the establishment. Recapitulation sheets arranged on this plan are found very convenient in many lines other than department stores.

Fig. 25 c. Sales Recapitulation Sheet

159

Fig. 26. Departmental Pay-Roll Record for Piece Work and Day Workers

160

PAY-ROLL RECORDS

28. The designing of pay-roll records to meet the special conditions in the great variety of manufacturing industries, offers a wide field for the ingenuity of the bookkeeper or accountant. Where all employes are paid a stated wage and their employment in one department is continuous, the problem is a simple one, resolving itself into a mere record of the number of hours worked each day, the rate, and the amount due. But this condition seldom exists.

In most industries more complex problems are encountered. The same employe may be called upon to work in more than one department during a pay-roll period, or he may do several different kinds of work in the same department. In either case the form for the record must be so constructed as to furnish complete information relative to the cost of the different classes of work. Elaborate systems for gathering records of time on each detail of the work are employed in most modern factories, and the pay-roll record or time book is arranged for a consolidation of these detailed records.

Fig. 26 illustrates a form used in one factory for a distribution of time records where men are employed on different kinds of work in different departments, and on both day wage and piece work plans. In this form provision is made for the record in each department, and each day's record is divided between time and piece work. Several lines are set aside for each employe, so that the record will be complete for each kind of work. At the extreme right, department totals are extended. These are quickly calculated for the reason that while an employe may do different kinds of work and in different departments the same operation is not performed in more than one department. To provide for records of more kinds of work this principle can be carried still farther by allowing more space for each employe, and in some cases a full sheet is assigned for each. In one factory the pay-roll book is loose leaf, one sheet being used for each employe. Each side of the sheet holds the record for two weeks, and by using both sides, it gives a complete record for four pay-roll periods.

29. Combined Pay-Roll and Check Register. Many industries pay their employes by means of checks instead of in currency. Special pay checks are used which merchants willingly cash as an accommodation to their customers. Whenever the check system of payments is adopted it is best to carry a special bank account for the purpose. When 161the amount of the pay-roll is determined, a check should be drawn on the regular bank account and deposited in a special fund against which the pay checks will be drawn.

Fig. 27 shows a form, designed for the use of a concern paying by check, which combines a check register with the pay-roll record. Since all checks drawn against this special fund are pay checks, this register gives a complete record of the special bank account.

Fig. 27. Combined Pay-Roll and Check Register

162

A TYPICAL GRAIN ELEVATOR IN CHICAGO HARBOR, WITH A MODERN FREIGHTER READY FOR LOADING

163

TRUSTEES AND EXECUTORS' ACCOUNTS

1. From the accounting standpoint, business can be divided into two general classes: (a) Business conducted by the owner or a person appointed by him for the benefit of the owner; (b) Business that is the property of persons incapable of transacting business, necessitating the appointment, by the owners or other authority, of persons to transact business in place of the owner. It is with business of the latter class that we now have to deal.

In this class the owner or proprietor is supplanted by the administrator of the business. The generic term trustee applies to the administrator, who also takes more specific titles, depending upon the nature of the trust—as executor, administrator, assignee, guardian, receiver, etc. He is subject to the powers granted by the source of his appointment, and to the restrictions and requirements imposed by law.

A trustee—by whatever specific name designated—acting in his capacity as substitute for the owner, is the owner of the trust property as against the public. He is accountable to no one but the beneficiaries for whom he is acting as custodian. As owner of the estate, he can sue or be sued and perform many functions pertaining to the ordinary property owner. The beneficiary, by reason of his equity in the estate, can compel the trustee to carry out the provisions of his trust.

EXECUTOR'S ACCOUNTING

2. While an executor may keep his accounts in a manner chosen by himself, his accounting must conform to the legal requirements of the state in which the accounting is made. The form in which the accounting is to be made is not subject to rigid rules, but must conform to certain regulations. While requirements differ according to the jurisdiction, the regulations in general are as follows:

The preliminary accounting consists in filing an inventory of the personal estate of the deceased, showing both the nominal or 164face value of the assets and the amount they are expected to realize as stated by the appraisers. An executor usually files two accounts—an intermediate account, filed at some date prior to the final account, and a final account, showing the property in his hands subject to distribution by judicial decree. The intermediate account may be filed either voluntarily or by order of the court. The account must be accompanied by the following schedules:

SCHEDULE A

1. Statement of property contained in the inventory, which has been sold, with the manner of sale and amounts realized. 2. Statements of debts due the estate as scheduled in the inventory, which have been collected. 3. Statement of all interest and dividends received by the executor.

SCHEDULE B

1. Statement of debts due the estate that have not been collected or are uncollectible, with reasons. 2. Statement of personal property named in inventory that has not been sold, with reasons, and the appraised value of such property. 3. Statement of all property belonging to the estate that is lost through no fault of the executor, with the cause of loss and appraised valuation. 4. Statement that no other property than set forth in the inventory or schedules has come into the possession or the knowledge of the executor. 5. Statement that the increase or decrease in value of all assets of the deceased is allowed for or charged in Schedules A and B.

SCHEDULE C

1. Statement of all amounts expended by the executor for funeral and other necessary expenses, together with the receipts for, and objects of, such expenditures.

2. Statement of the date when the executor caused a notice for claimant to present claims against the estate to be published, together with order, notice, and proof of publication herewith filed, to which the executor refers as a part of his account.

165 SCHEDULE D

1. Statement of all claims of creditors allowed by executor or disputed by him, for which a judgment or decree has been rendered, with the names of the claimants, nature of claim, amount and date of judgment.

2. Statement of all money paid to creditors of the deceased, with names and time of payment.

SCHEDULE E

1. Statement of all money paid to legatees, widow, or next of kin, of the deceased.

SCHEDULE F

1. Statement of names of all persons entitled—as widow, legatee, and next of kin, of the deceased—to a share of his estate, with place of residence, degree of relationship, and statement as to which are minors, whether they have a general guardian, and if so, the name and place of residence to the best of the executor's knowledge, information, and belief.

SCHEDULE G

1. Statement of all other facts affecting the administration of said estate, executor's rights, and those of others interested.

These schedules provide all the material from which to make the account proper. In his account, the executor charges himself as follows:

With amount of inventory $_________
With amount of increase as per schedule A _________
With amount of income as per schedule A _________
_________  
Total debits _________

He credits himself:

With amount of losses on sales as per schedule B $_________
With debts not collected as per schedule B _________
With articles mentioned in inventory lost, schedule B _________
With funeral expenses and other expenses, schedule C _________
166With money paid creditors, schedule D _________
With money paid to legatees, widow, or next of kin, schedule E _________
Total credits $_________
Balance _________
Add articles unsold _________
Add debts not collected _________
  _________
Total to be distributed _________

FORM OF ACCOUNTS

3. The devising of forms of trust and executory accounts offers a wide scope for the application of accounting knowledge. Many intricate problems arise in the interpretation of details of the trust and in the apportionment of sums received, between capital and revenue. Broadly, these accounts are prepared in one of two forms: (a) An account of charge and discharge; (b) in the form of regular ledger accounts. As has been intimated, legal requirements are complied with by the first form, but the second form is preferable. When ledger accounts are kept on the double entry plan, the fullest information can be obtained about the condition of the trust at any time, and from these accounts, the account of charge and discharge or any form required by the court can be made for each period.

In preparing the accounts the exact relationship of the trustee to the estate (as the property in trust is called) must be kept in mind. As the owner of the property, he is a creditor of the estate (the business) just as the proprietor of the business is the creditor of that business. On the other hand, as custodian, he is a debtor, being in possession of the property of others.

In the ledger, property accounts are opened with the different classes of properties represented in the estate, which accounts are debited for the appraised value of the properties. These are known as custodian accounts.

A contra account representing the estate—sometimes called the capital—is opened under some such caption as Personal Estate Account. This account is credited with the combined values of all properties represented by the custodian accounts.

167When the assets are entered and posted, the ledger accounts will appear as follows:

These asset accounts represent the value of the individual properties, while the personal estate account represents the combined values of all personal property of the estate (No. 1, No. 2, and No. 3). The personal estate is known as the corpus, distinguishing it from the real estate.

If the trustee, as the custodian, is called upon merely to distribute the estate to the beneficiaries, his accounting is a very simple problem. In many cases, however, he is called upon to take care of the income arising from the corpus or the real estate.

When he receives such income in the shape of cash, he debits 168himself as custodian through a cash account, and credits an income account under an appropriate title—as interest account, rent account, dividend account, etc. The account may represent the income from a specific property, or all income of a stated class. For example, rent account may represent the rents received from all properties, or there may be a separate rent account for each.

Distinguished from the income accounts, the trustee sometimes has accounts representing the sale of real estate, which must then be treated as personal property. When real estate is sold, cash is credited and an account, usually called Sale of Real Estate, is credited.

4. Classification of Accounts. A classification of the accounts of the executor naturally divides into: (a) Personal estate account; (b) asset accounts; and (c) distributive accounts. The personal estate account, as we have seen, is a controlling account which represents the total of all assets. It is also referred to as the capital account. It is, as well, a controlling account of the distributive accounts, and in the end exhibits a schedule of transactions in the order in which they occur.

The asset accounts, representing the different classes of properties or assets of the estate, correspond to the asset accounts of an ordinary business.

The distributive accounts may be likened to the revenue accounts of a business enterprise. These accounts are debited with all amounts distributed—as expense of administering the estate—and credited with all income or revenue other than that representing the conversion of the original estate into cash.

5. Executors' Commissions. While the commission allowed administrators and executors varies in different states, the amount specified by law in New York applies as a general rule. The commission allowed is 5% on the first thousand dollars received and disbursed, 2½% on the next ten thousand dollars, and 1% on all amounts above eleven thousand dollars.

If the value of the personal property is $100,000.00, or more, in excess of all debts, each executor is entitled to receive the commissions provided in case of a single executor; except that if there are more than three executors, the amount which the three would receive must be divided in proportion to the services rendered.

In cases where the will provides a specific remuneration, the 169executor is not entitled to a commission. He can, however, decline a legacy and in lieu thereof take the usual commission.

Commissions are not allowed on specific legacies, that is, where specific property, as household effects, automobiles, etc., are named. An annuity is a series of legacies and the commission is not allowed on its payment. However, when a beneficiary is given the use of a fund, the beneficiary is charged with the commission.

In all cases where administrators or trustees are responsible for the investment of the funds of an estate, they are entitled to receive commission on the income. The commission in all of these cases is at the regular rate, that is, 5% on the first thousand dollars received and paid out, etc.

EXAMPLES

1. Two trustees collect in one year an income of $36,000.00 for a beneficiary, the expense being $3,000.00. If each trustee receives an equal share, what commission will be paid to each, and what sum shall be paid to the beneficiary? Ans. Each trustee, $275.00; beneficiary, $3,275.00.

2. Executor X collects of the corpus of an estate $30,000.00, executor Y collects $40,000.00. Together they pay out $55,000.00. Commissions are to be divided in proportion to the amount collected by each. What commission will each receive and what is the net amount to be paid to the residuary legatee? Ans. Commissions: X, $381.43; Y, $508.57. Residuary legatee, $14,110.00.

3. Four trustees collect and pay out of an estate $350,000.00, the total debts of the estate being $135,000.00. What commission will each trustee receive? Ans. $2,767.50.

SAMPLE ACCOUNTS

6. Following are the transactions and accounts of David Brown, executor of the estate of Henry Snow, deceased. For keeping the accounts, the journal, cash book, and ledger are the books used.

June 1, 1908
Henry Snow died this day, naming David Brown executor.
 
—3—
Estate inventoried and appraised as follows:    
Cash in bank $390.50  
Mortgages 5,000.00  
170R. R. stocks $5,000.00 appraised @ 112   $5,600.00
Household furniture   1,000.00
Debtors to the estate    
Henry Alton $160.00  
J. L. Lawrence 52.00  
D. Pringle 75.00  
F. D. Smith 84.50 371.50
   
Interest accrued on mortgages $5,000.00    
—5 mo. @ 5%   104.16
Accrued dividends on stock estimated    
at 3% semi-annual, payable July    
1st—5 mo. accrued   137.50
   
    12,603.66
 
—30—
Approved the following claims:    
Dr. Knight bill   200.00
Funeral expenses—Undertaker   250.00
Henry Cole account   62.00
H. Dawson account   17.00
Probate expenses   100.00
 
—30—
Additional assets discovered    
Geo. Smith owes the estate   50.00
 
July 1
Collected 6 mo. interest on mortgage    
at 5%   250.00
 
—1—
Collected the following accounts:    
Henry Alton   160.00
D. Pringle   75.00
 
—1—
Paid the following:    
Dr. Knight   200.00
Funeral expenses   250.00
Henry Cole   62.00
H. Dawson   17.00
Probate expenses   100.00
 
—5—
Received dividend on R. R. stock    
3½% semi-annual on $5,000.00   $175.00
 
—5—
Sold R. R. stock $5,000.00 @ 132   6,600.00
 
Sept. 1
Collected the following account:    
J. L. Lawrence   52.00
 
—20—
Sold H. H. furniture   790.00
Depreciation on H. H. furniture   210.00
 
Nov. 1
Collected the following accounts:    
F. D. Smith   84.50
Geo. Smith   50.00
 
Dec. 1
Collected 6 mo. interest on mortgage    
$5,000.00 @ 5%   125.00
 
—1—
Sold mortgage   5,000.00

A GENERAL VIEW OF THE PLANT OF THE FOX TYPEWRITER COMPANY, GRAND RAPIDS, MICH.

172

Executor's Journal

173

Executor's Account of Cash Receipts and Disbursements

174

Classified Ledger Accounts of an Executor

175

Classified Ledger Accounts of an Executor

176

Classified Ledger Accounts of an Executor

177

Schedule Filed by an Executor

178

Schedule Filed by an Executor

179

EXERCISE

7. George Williams died on March 5th, bequeathing his entire property, after payment of all debts and funeral expenses, to the following beneficiaries: George Williams, Jr., one-fifth; John Williams, one-fifth; Fred Williams, one-fifth; Mary Williams, three-tenths; and George Robinson, one-tenth.

The inventory filed by his executors was as follows:

Stocks and bonds $4,000.00
Mortgages 6,000.00
Wearing apparel 100.00
Cash in bank 40.00

There are two executors, and their transactions are as follows:

Cash Receipts
Stocks and bonds sold 3,341.00
Mortgages realized 4,656.00
Wearing apparel sold 50.00
Dividends collected on stocks and bonds 1,800.00
Interest collected on mortgages 2,400.00
Interest received on deposits in bank 100.00
Real estate sold 1,000.00
Rents collected 720.00
Cash in bank at decease, withdrawn 40.00
 
  14,107.00
 
Cash Disbursements
Funeral expenses 30.00
Expenses of probate 200.00
General legal expenses 400.00
Repairs to building 220.00
Stationery, postage, etc. 10.00
Accountant's fee 80.00
Debts of deceased 500.00
Taxes 800.00
Insurance 10.00
George Williams, Jr., on account of legacy 2,200.00
John Williams, on account of legacy 2,500.00
Fred Williams, on account of legacy 2,220.00
Mary Williams, on account of legacy 3,100.00
George Robinson, on account of legacy 960.00
 
  13,230.00
  =========

180The inventory at the date on which they wish to account is as follows:

Stocks and bonds $1,000.00
Mortgages 1,280.00
Cash in bank 877.00

Make up summary statement of the Executor's Accounts showing the balance due each legatee.

ACCOUNTS WITH TRUST PROVISIONS

8. In the accounts shown in the preceding illustrations the entire estate is distributed by judicial decree. When all of the property has been distributed, the custodian accounts will have been closed into the personal estate account, which in turn is closed by the distribution of the estate. In many cases the will of the deceased provides that certain beneficiaries shall have a life interest in certain of the assets. Quite frequently the widow is given the income on certain investments which will revert to the estate at her death. This is illustrated in the following example of trust accounts:

Edward Brown died on June 15, 1907, leaving a will which elected that after payment of all just and lawful debts the following legacies should be made:

To his widow, that part of the real estate consisting of his residence, the household effects therein, and the income from $50,000.00 to be invested.

To his son and daughter, $20,000.00 each, and an equal share of the above $50,000.00 at his widow's death.

The inventory made up for the preliminary accounting was as follows:

Cash in house $200.00
Cash in bank 1,500.00
Household effects valued at 2,500.00
Stocks 40,000.00
Book accounts 20,000.00
Merchandise, fixtures, and stock in trade 25,000.00

The real estate consists of

The residence of the deceased, valued at 15,000.00
5 houses valued at 15,000.00
(to be sold according to will)  
181

Executor's Accounts With Trust Provisions

182

Executor's Accounts With Trust Provisions

183

Executor's Accounts With Trust Provisions

184

Executor's Accounts With Trust Provisions

185

Executor's Accounts With Trust Provisions

186

Accounting of an Executor, in the Form of an Account of Charge and Discharge

A FACTORY CHEMICAL LABORATORY AT THE PLANT OF THE S. OBERMAYER CO., CINCINNATI, OHIO

187

Accounting of an Executor, in the Form of an Account of Charge and Discharge

188

REALIZATION AND LIQUIDATION ACCOUNTS

9. A realization and liquidation account is an account showing the result of the liquidation of a business or an estate.

It is debited with the total assets as shown by the balance sheet or statement of affairs, and is credited with all liabilities to outside creditors. The account is subsequently credited with the amounts realized on assets, and debited with liabilities liquidated together with the expenses of realization and cost of liquidation.

Realization and liquidation accounts are frequently prepared in the form of an account of charge and discharge as shown in the preceding pages for executor's accounts.

STATEMENT OF AFFAIRS

10. A statement of affairs is frequently confused with a balance sheet. This is because, like a balance sheet, a statement of affairs exhibits the resources and liabilities of a business. The difference lies in the fact that a statement of affairs is made up partly from information gained from the books and partly from information secured from other sources.

A statement of affairs is used chiefly in the preparation of a statement of the condition of an insolvent concern, or one whose affairs have been, for any reason, placed in charge of an Administrator. In a going business, all facts that have a bearing on its financial standing should be recorded on the books, when the statement will be made in the form of a balance sheet.

Statements of affairs of a going business are sometimes made when it is desired to make a showing for a special purpose, or at a date other than a regular closing date. When the books have been improperly kept, a statement of affairs, or statement of assets and liabilities, is necessary to get all of the facts properly recorded.

11. Statement of Affairs of a Bankrupt. A statement of affairs of a bankrupt is prepared on a somewhat different basis than a similar statement for a going concern. Such a statement is prepared for the benefit of creditors, and should be based on the probability of the creditors receiving their claims in whole or in part.

189

A Statement of Affairs of a Bankrupt

190On the left-hand side of the statement, the liabilities should be listed, showing whether they are actual, contingent, or provisional; which are preferable or ordinary, or secured partly or wholly by assets held by creditors of the concern as security for their claims. On the right, the assets of the concern should be shown. These should be classified as to whether they are free for distribution among the ordinary creditors or subject to special liability or claims and which must be liquidated before the assets can be released for distribution.

The assets may be listed on the basis of their value in a going concern, or on the basis of the prices they are estimated to bring at forced sale. The best practice is to list the assets to show, in one column, their nominal value, and in another column the amounts they are expected to realize. The statement is prepared for the express purpose of showing the probability of creditors—preferable, secured, partly secured, and ordinary—receiving their claims in full or being obliged to accept a dividend. In preparing such a statement, therefore, the investigation should be extended beyond the mere bookkeeping records. While the statement should be based on the properly balanced books of account, it must be supplemented by information from other sources.

The statement of liabilities should include, not only all of the liabilities shown on the books of the debtor, but all other enforcible claims, including contingent liabilities on account of the debtor's name being on commercial paper as an endorser.

Preferable claims for taxes, wages, and salaries which must be paid in full out of the assets of the estate, should be deducted from the assets in order to show the net value of the estate available for distribution among ordinary creditors. The details of such claims should be included among the liabilities, but without extending the amounts to the total column.

Claims of secured creditors also are entered on the liabilities side of the statement, but are not carried to the total column. Such claims are deducted from the assets forming the specific security held, the balance only being included among the assets available for distribution and carried to the total assets column.

Partly secured claims are entered among the liabilities, but the amount to which they are secured is deducted, and the balance, which must take the same chances of payment as other unsecured claims, is entered in the liabilities column. The corresponding assets are entered on the assets side but not extended.

191

A Deficiency Account Which Shows the Causes of Loss

192These adjustments are necessary to show clearly the net assets that will be available for the ordinary creditors, and the total amount of claims to be satisfied out of these assets.

Every statement of affairs should also have appended to it schedules showing the fullest particulars of the different entries which appear in the statement. The names and addresses of all creditors should be given and the nature of the debt, whether a trading debt or for borrowed money, should be clearly shown. Full particulars of any security held should also be given.

It is much more difficult to ascertain the value of the assets of a bankrupt than the amount of the liabilities. While it is comparatively easy to get at the cost or book value of the assets, if the books have been properly kept, it is usually necessary to write off a considerable portion of this value to arrive at the amount likely to be realized on forced sale. It is usually advisable, therefore, to call in an appraiser, familiar with the line of business involved, to set the values of the assets on the basis of a going business and on forced sale.

By showing the book value of the assets and the values they are expected to realize, the probable deficiency as a result of the liquidation of the estate is readily seen. Book debts should be classified as good, doubtful, and bad. Good debts are extended at face value, doubtful debts at the amount they are expected to realize, while the bad debts are entered on the statement without extending any amounts.

Assets should be listed in the order of their availability, those most readily realized being placed first. At the bottom of the statement, in the form of a note, the dividend available for ordinary creditors, exclusive of expense of realization and liquidation, is shown.

A statement of affairs is shown, Page 27, which will make the explanation clear.

Every statement of affairs should, when possible, be accompanied by a deficiency account. The purpose of the deficiency account is to show, as far as may be, the cause of insolvency. This account is credited with the losses and shrinkage in the estate shown by the statement of affairs, the losses shown by the books, and the withdrawals of the owner or partners. It is debited with the capital at the last known date of solvency, all additions of capital, and all profits shown by the books. The balance is the net amount of the deficiency, and should agree with the amount shown by the statement of affairs. A deficiency account is shown in connection with the illustration of a statement of affairs.

STOCK EXCHANGE BUILDING, CHICAGO, ILL.

195

STOCK BROKERS' ACCOUNTS[4]

1. The principal feature of brokerage accounting is that such companies are not supposed to make investments upon their own account, but to act as intermediaries or agents for those who desire either to buy or sell.

4.  Copyright, 1909, by American School of Correspondence.

As this is the case, such companies' profits depend entirely upon the commission charged their clients, which is charged whether they buy or sell for a client. There is also a margin of profit on the interest account, as large brokerage firms are enabled to secure money from banks at very favorable rates, sometimes much lower than the regular six per cent charged to customers.

The legitimate broker actually buys and sells, as instructed by his client. If a customer instructs the broker to buy one thousand shares of D. & R. G. preferred at 88½, the customer deposits the margin required by the broker, usually 10 per cent, and the broker at the first opportunity thereafter, buys in open market the one thousand shares of D. & R. G. stock ordered, paying in full for the same. The customer may have a certain time to take up this stock, say thirty or sixty days, but as he is still indebted to the company for ninety per cent of the purchase, he is required to pay six per cent interest upon the deferred payments until such time as the stock is finally taken up and paid for.

LARGE CAPITAL REQUIRED

2. It will be seen that in a multitude of transactions of this character, a very large amount of money is required by the broker, to carry on his business successfully. As very few of them have the amount of capital necessary, they resort to bank loans. Banks are very willing to loan money with listed stocks as collateral security, and frequently do so at favorable rates for the broker. This rate is determined by the condition of the money market, but is invariably less than the rate of interest charged to the client.

196

GRAIN PURCHASES

3. Purchases of grain at a stipulated price differ from stock purchases, inasmuch as the full amount of the purchase does not have to be paid until the delivery of the goods, although there are frequently charges, such as storage and insurance, which must be made upon long time purchases. These charges do not accrue, however, until after delivery. If a customer buys fifty thousand bushels of wheat in April for September delivery, the purchase is made by the brokers at the earliest date possible, in order to avoid any fluctuation of the market. When the broker makes the purchase he pays over the amount necessary to secure the same. If the deal is carried through to maturity, the grain is delivered to the broker who has made the purchase for his client, and is in turn delivered to the client upon the payment of the balance due, including all charges upon the same.

It is frequently the case, however, that before the actual delivery takes place, the client has ordered the broker to sell a sufficient amount to cover the deal. This may be either at an advance or a decline from the price purchased, but in either case the broker receives his commissions for both transactions—buying and selling.

BULLS AND BEARS

4. Investors who are always figuring upon an advance in prices are termed bulls, and those who are confident of lower prices are termed bears. If a seller sells for future delivery what he does not own, he is termed short and becomes temporarily a buyer, in order that he may have a sufficient amount to fill his orders. If a buyer holds stock or grain for a rise, or contracts for future delivery, he is termed long and becomes temporarily a seller, seeking to bring his holdings down to the normal demand.

EXACT BOOKKEEPING NECESSARY

5. It will be seen from the nature of the business that the bookkeeping department must be very exact, careful in its dealings, and as prompt as a bank in its action. Every precaution must be taken to safeguard the broker and protect the customer. The accounts must show, with each transaction, the brokerage or commission charges and, as in active times the transactions are very numerous, they must be quickly and accurately recorded in the books of the company.

197

BROKER'S COMMISSION

6. The percentage or commission due to the broker is included in the amount deposited to protect the deal, which is called a margin. If there should be a decline in price of either stock or grain, sufficient to cause the broker to feel insecure, he always reserves the right to call upon the customer for an additional deposit, even though the time of delivery has not yet arrived. In case the customer fails to make such additional deposit, the broker can sell the securities, grain, or other purchase, at once, in order to protect himself; the amount primarily deposited by the customer is thereby forfeited.

All orders for the purchase and sale of any article are received and executed with the distinct understanding that actual delivery is contemplated and that the party giving the order so understands and agrees.

SECURITIES

7. It is understood and agreed between the broker and his client, that all securities carried in his account, or deposited to secure the same, may be carried in the broker's general loans, and may be bought or sold at public or private sale without notice, when such sale or purchase is deemed necessary by the broker for his protection.

It is also understood and agreed that the right is reserved by the broker to close transactions on all accounts without notice, when protection is exhausted, or when, in his judgment, it is near enough exhausted as to endanger the account, and the broker reserves the right to settle contracts with his client, in accordance with the rules and customs of the exchange where the order is executed.

BUCKET SHOPS

8. The class of brokerage concerns termed bucket shops are those which do not actually carry out the orders of their customers, who neither buy nor sell anything, but who expect quick deals, frequent changes and, speaking plainly, merely gamble with their clients, allowing them to take whichever side they prefer. The large margin which this fraternity receives is a commission on deals whether they win or lose.

198In order to maintain at least a pretense of legality, there must be an actual transfer of all stocks and commodities speculated in. The broker must acquire nominal possession of something which represents stocks, grain, cotton, or other commodities. To do this he must borrow money from the bank, or borrow stock or warehouse receipts from those who have them to lend. In either instance he charges interest to his speculative customers.

It is estimated that the brokers in New York City who are members of the various exchanges, have an average amount in call loans outstanding of about $600,000,000.00, all of which vast sum is used to finance the orders of the brokers' customers. In dull times the minimum falls as low as $350,000,000.00, but there have been periods of speculative activity when $1,100,000,000.00 have been thus employed. The interest rate charged brokers constantly varies, but those who have had dealings with them state that their accounts rarely show less than five per cent interest. The broker charges the customer six per cent, thus averaging one per cent profit upon all money borrowed.

The New York Stock Exchange was founded for a high and honorable purpose, the same being true of the New York Produce Exchange, The Chicago Board of Trade, and other institutions for coöperative trading and the determination of values, in accordance with the recognized codes of business, and in conformity with the laws of supply and demand. Such exchanges serve admirably the producer and the merchant. They have a valid function to the investor in railroad and corporation securities, and are indispensable in facilitating the massing and distribution of capital required by large commercial enterprises.

LEGITIMATE DEALERS

9. Every legitimate brokerage concern has its representative or representatives on the board of trade in the city wherein it is located, and they are members in good standing of the board. When an order is given by a customer, either through the wicket or by wire, it is immediately transferred to the floor man and he proceeds to buy or sell as the instructions are given. In an active market the client must take the chances of slight fluctuations, which are just as likely to be in his favor as against him. The floor man reports the 199sales or purchases as soon as made, with the price paid and from whom purchased. The entries are immediately made to the customer's account.

CLEARING HOUSE

10. The boards of trade in different cities maintain a clearing house somewhat similar to that used by the banks, to settle the deals of each member of the board each day. The deals consummated during the day's session are reported to the clearing house and the amounts due from and payable to each firm or individual member are computed. If the brokerage firm has purchased ten thousand dollars more than it has sold, a check is given to the board for ten thousand dollars, as there must be some other firm or firms who have sold more than they have purchased to whom this ten thousand dollars is due, and to whom it is paid. Deliveries of stock are made at the time the balance is paid.

RING SETTLEMENT

11. At the close of the day, settlements for grain purchases are made between brokers at an agreed settlement price. If brokers have bought and sold to each other in varying amounts, only the difference in the price is adjusted with each other. What are called ring settlements save considerable time, money, and labor. The ring settlement is a settlement between three or more parties without the necessity of margining and may be illustrated in this manner:

A has bought 50,000 bushels of wheat of B, and has sold 50,000 bushels to C. By inquiry, it is found that C has sold 50,000 bushels to B. It is ascertained that the transactions between A, B, and C offset each other, and instead of each party being obliged to put up margins upon each transaction, a settlement may be effected by paying the difference in price, as the sale from C to B may be at a different price from the sale made by B to A, and the sale made by A to C, may have been at a still different price. By the adjustment between the different parties of the difference in price, the necessity of margining by A, B, or C is rendered unnecessary.

ILLUSTRATION

A bought 50,000 bushels of wheat of B at $1.23; A sold 50,000 bushels of wheat to C at $1.23½. By making up the ring it was found that C has sold to B 50,000 bushels at $1.22½. In making the settlement it is found that C 200is indebted to B ½ cent per bushel for the amount sold, as B sold at ½ cent advance; C is also indebted to A ½ cent per bushel as he purchased of A at a ½ cent advance on the price A bought from B. The settlement of this deal would be made by C giving his check for the amount due to B and to A, and there would be no necessity for any one of the three brokers putting up a margin on the deals. The amount of grain is offset one by the other, and the difference in price has been adjusted by payment of cash.

COMMODITIES HANDLED

12. The commodities that are handled upon the board and by brokers in general—food stuffs—are wheat, corn, oats, pork, lard, and short ribs. The various listed stocks are also bought and sold, a considerable business is done in bonds, and in some exchanges mining properties are listed, bought, and sold; although the latter is not common in the larger and more important exchanges. Cotton is a very important factor in some exchanges, and tobacco in others.

CORNERING THE MARKET

13. To corner the market is to offer to buy and be prepared to carry out your offer, for an amount more than is offered for sale, thus causing the price to advance. Sometimes this is done by large operators to their advantage and sometimes, in spite of their large purchases, which encourage a rising market, the prices fall before their deals are consummated, and they are left high and dry with a considerable loss instead of a large profit. The bull who tries to run a corner has a strong foretaste of what it means to advance sensationally, a staple article of consumption. Stocks and bonds may be hoisted ever so high; real estate may be boomed to far beyond its intrinsic or even potential worth—the public has no objection; the process is, in fact, rather pleasing to it. A lift in cereals or cotton above the normal lines encounters many protests and the higher the lift, the more savage the protest. This of course does not include the farmer or planter, unless he has disposed of his output; then he willingly enough joins the chorus of protestation.

VALUE OF THE WIRE

14. The telegraph is a very important factor to the grain and stock broker, as a large majority of their business is done by wire. Many of their clients are distributed through the country and keep 201close watch of the fluctuations of the market, sending their orders by wire, at what they consider an opportune time.

Most brokerage firms have a number of customers outside of the city, and these customers as well as those in the city who are large buyers, keep a considerable deposit on hand with the broker at all times. This deposit is frequently augmented by advantageous sales or decreased by losses, commissions, and interest charges. Reports of the condition of customers' accounts are made with frequency and any customer who finds that he has more money in the hands of the broker than is considered necessary, can secure part of the same by asking, or if he desires to close all transactions, the total amount due him is paid over at once. All amounts thus deposited are credited to customers' accounts and properly taken care of through the bookkeeping department.

SETTLEMENT OF CONTRACTS BY OFFSET

15. To quote from the rules of the Chicago Board of Trade:

In case it shall appear that the delivery of any outstanding trade or contract between members of the association may be offset by some other corresponding trade or contract, made by the parties with other members of the association; and the parties to such trade or contract, or their authorized agents, consent to such offset, such trade or contract shall be deemed to have been settled; any balance between the current value of the property covered by such trade or contract, and the several contract prices shall be due and payable immediately by the party from whom such balance may be due, to the party entitled to receive the same under his contract.

This is the rule applying to ring settlements hereinbefore described. To quote further:

"MARKET VALUE TO BE POSTED

The current market value of the property contracted for shall be conspicuously posted, at a stated hour each day, under the direction of the Board of Directors, in the Exchange Hall and in the Settlement Room of the Board, which posting shall serve as a basis for the adjustment of all contracts settled, as herein provided on that day.

"ADJUSTMENT OF BALANCES ON SETTLEMENT

In order to facilitate the operation of this section, each member is required to keep a settlement book, in which shall be entered the names of parties with whom settlements have been made and the dates and terms of the trades included in such settlement, and the terms of such settlements, and the prices at which the commodities were originally sold or purchased, and the amounts due to or from him or them on each separate settlement, also the net amount due to or from him or them on all settlements.

202 "CLEARING HOUSE AND REPORTS

The Board of Directors is hereby authorized to provide a suitable office, with the necessary employes, to which members shall be required, at stated hours each day, to make reports, showing the net balance due to or from each member, as shown by such settlement book, and also the general balance due to or from him or them upon all such settlements; each report to be accompanied with an acceptable check for the balances, if any, due from him or them on the contracts so settled; whereupon, if said report is found to be correct, as compared with other reports rendered him, the person in charge of said office shall, at a stated hour each day, pay to each of the parties making such report any balances which he may have collected, and which shall appear to be due to them by said reports, less such charges as shall be prescribed by the Board of Directors as compensation for the services of said office.

"CONFIRMATION OF TRANSACTIONS FOR FUTURE
DELIVERY, ETC.

It shall be the duty of each member or firm making a transaction for future delivery of grain or flax-seed in five thousand or one thousand bushel lots, lard and pork in two hundred and fifty or fifty package lots, and D. S. short ribs and D. S. extra short clears in lots of fifty thousand or twenty-five thousand pounds, under the Rules of the Association, to confirm such transaction by sending to the clearing house a memorandum of the same by 6 o'clock P. M. of the day on which it is made; such memorandum shall be in writing, and shall state on its face the date of the transaction, the quantity and kind of property covered by the same, the month of delivery, the price, and the name of the party to whom sold or of whom bought, and shall be signed by the party or firm making the same. All transactions of the same date made with any member or firm may be included in one memorandum, and all such memoranda shall be sent to the clearing house by the member or firm making the same, in unsealed envelopes addressed to the member or firm with whom such transactions were made. It shall be the duty of the clearing house manager to assort and have ready for delivery by 8 o'clock A. M. of the following day, and to deliver, on application, all envelopes containing such memoranda as are left with him in compliance with this section.

There is a fine imposed upon any member failing to comply with the above provisions.

"FAILURE TO DELIVER OR RECEIVE ON CONTRACT

In case any property contracted for future delivery is not delivered at maturity of contract, the purchaser may, if he shall so elect, consider the contract forfeited; or he may purchase the property on the market for the account of the seller, by 1:15 o'clock P. M. of the next business day, notifying him at once of such purchase; or he may require a settlement with the seller at the average market price on the day of maturity of contract, and any damages or loss due to the purchaser, by reason of such purchase or declared settlement, shall be due and payable by the seller immediately.

A SECTION IN THE GENERAL OFFICES OF THE SIMMONS HARDWARE COMPANY, ST. LOUIS, MO.

203In case any property contracted for future delivery is not received and paid for when properly tendered, it shall be the duty of the seller, in order to establish any claim on the purchaser, to sell it on the market at any time during the next twenty-four hours, at his discretion, after such default shall have been made, notifying the purchaser within one hour of such sale; and any loss resulting to the seller shall be paid by the party in default.

DEPOSITS TO SECURE THE FULFILLMENT OF TIME CONTRACTS

Fig. 1. Memorandum of Deposit with Broker to Secure Contracts

16. The rules of the board of trade provide that on time contracts, purchasers shall have the right to require of sellers as security, a deposit of ten per cent, which amount is based on the contract price of the property purchased; they are also further allowed to demand security from time to time to the extent of any advance in the market value above selling price. Sellers shall have the same right on property sold, and, in addition, any difference that may exist or occur between the estimated legitimate value of any such property and the price of sale. It is required that all securities shall be deposited with the treasurer of the association or with some 204bank duly authorized by the board of directors to receive such deposits. The board requires in each instance a memorandum which shall state the name of the depository, the date on which the deposit is made, the name of the depositor, and also the name or names of the party or parties in whose favor the deposit is to be made, together with the amount of such deposit in detail and also in the aggregate. The left-hand part of the memorandum is retained by the depository selected, the right-hand portion thereof being taken by the depositor after being duly signed by the person authorized to receipt for the said deposit, and without delay this memorandum must be placed in the office of the clearing house. A detail of this memorandum is shown in Fig. 1.

Upon the fulfillment or settlement of any contract or upon the closing of any contract—deposits upon which have been made—when the full adjustment of all differences relating to the same shall have been effected, the deposit shall be paid to the party depositing.

COMMISSIONS ALLOWED BY BOARD TO BROKERS

17. The commissions to be collected by brokers from customers are fully prescribed by the board of trade in each city and do not materially differ. While it will not be possible to give all the rates of brokerage or the charges allowed for buying, selling, or accounting, the commissions allowed on the Chicago Board of Trade for buying or selling, or for buying and selling, are as follows:

For the purchase, or for the sale, or for the purchase and sale by grade alone of wheat, corn, or oats, to be delivered in store, either for immediate or for future delivery, one-eighth of one cent per bushel.

For the purchase, or for the sale, or for the purchase and sale, by grade alone, of rye, barley, or flax-seed, to be delivered in store, either for immediate or for future delivery, one-quarter of one cent per bushel.

For the purchase, or for the sale, or for the purchase and sale of lard, six cents per tierce.

For the purchase, or for the sale, or for the purchase and sale of pork, five cents per barrel.

For the purchase, or for the sale, or for the purchase and sale of D. S. short ribs, or D. S. extra short clears, twenty-five cents per thousand pounds.

The minimum rates allowed upon the above transactions made for the account of members of the board are one-half of the foregoing minimum rates.

BOOKS AND FORMS USED

18. There are a number of ordinary forms, such as checks, drafts, receipts, requisitions, etc., that are common with most lines 205of business and used in the brokerage business, which will not be necessary to reproduce. Most brokers have all such forms printed or lithographed for their especial use with their name and address prominently displayed thereon.

ORDER BLANK

Fig. 2. Telegraphic Buying and Selling Orders

19. The first form of importance in connection with the accounting department of a brokerage firm is the order of the customer. This must invariably be in written form with the signature of the customer and the order must be expressed in the plainest terms so that there is no possibility of misconstruction. As these orders are frequently received by wire, or often dispatched by wire to New York or other branch office for execution, blanks for the purpose, as shown in Fig. 2, are furnished to customers, those used for buying orders being printed in black and those used for selling orders being printed in red. These orders are made out by the purchaser or 206his authorized agent and should not only show the date of the order but also the time of the day it was given, which is frequently of great importance in an active market. Whatever margin is required by the broker upon the deal must be deposited by the client at the time the order is given, as without this protection, the broker will not proceed to execute the order. It is sometimes the custom for brokers to accept collateral covering a certain amount of margin, in which case the broker gives the customer a receipt in due form, holding the collateral as trustee until settlement of account. All orders are executed at the earliest possible moment after their receipt. Legitimate brokers are members of the board of trade often in various cities and have their representatives on the floor, during the business hours of the board, to buy or sell as ordered.

Fig. 3. Credit Slip Given to Customer by Broker

DEBIT AND CREDIT SLIP

20. As soon as the transaction is accepted by the broker, he gives to the customer a debit or credit slip showing the nature of 207the transaction, or it is sent by mail, as soon as possible after business hours; the charge or credit depend upon whether it is a purchase or a sale. The blanks for this purpose, as shown in Fig. 3, should be printed on different colored paper; the debit blank is usually on white and the credit blank on buff or yellow paper. If a client buys, the amount of his purchase appears as a debit to his account, with the commission added. He receives credit for whatever amount of margin he deposits, and the account stands thus until delivery, when the entire balance must be paid. If a sale is made by the client before the time of delivery, the amount of the sale is credited to his account, less the commission due for selling and any other charges. The difference in the account, whether it is an amount due from the broker to the client or from the client to the broker, is paid in cash as soon as the deal is closed.

Fig. 4. Daily Sales Journal or Record of Stock Sales

208

DAILY RECORD SHEET

21. As a most perfect record must be kept of every transaction, the daily record sheets, as shown in Fig. 4, are of the greatest importance. This book is called the daily journal as frequently as it is designated the daily record.

Fig. 5. Daily Sales Journal or Record of Grain Sales

This book is most convenient when kept in loose-leaf form, as a small number of leaves may be kept in the binder for current use, and after the sheet is filled, it may be filed away for future reference. The size of the sheet is usually 16 by 14 inches, and it is ruled and printed to show date, remarks, shares, stock, price, charge stock account, commission, credit account of, and folio. The purchase blank for this record is exactly the same with the exception that it is used to credit stock account instead of charging, and to charge customers' accounts instead of crediting. There should also be a grain sales sheet and a grain purchase sheet, which differ slightly in the column headings but not necessarily in the ruling—number of bushels 209taking the place of the column headed shares, and kind of grain taking the place of stock, as shown in Fig. 5. There should also be a sundries sales and purchase sheet for recording orders upon other commodities than grain or stock. Its form is the same as that shown with the exception that amount takes the place of shares, and commodities the place of stock in each form.

Fig. 6. Special Journal Used by a Grain Commission Company

As soon as an order is received, it is entered upon the proper record with all of the particulars, and the postings to customers' accounts are made daily, but the posting to the general ledger accounts need not be made more frequently than once a month, unless it is desired to take off a general ledger balance at more frequent intervals.

210

Fig. 7. Daily Advice of Purchase or Sale Rendered to Customers

211

GRAIN COMMISSION JOURNAL SHEET

22. In this connection it is advantageous for the student to study the journal form used by an exclusive grain commission company, Fig. 6. This form is used for recording the sales as they are made in a manner similar to that described in the daily record sheet. The form is loose-leaf and may be 11 by 14 inches in size, or if preferred could be made 16 by 14 inches, giving the advantage of a longer page. The necessity for a long or short page is determined altogether by the amount of business done by the house in one day, as it is the intention with this record to use one full page or more for each day's transactions. This journal bears the day and the date at the top of the page, and is ruled and printed to show columns for folio, names, number of sale, net proceeds, insurance, sack rent, freight and charges, commission, and total. The entries in this journal are made from the sales sheet, and the total amount is posted to the ledger for customers from this medium.

Fig. 8. Record of Stocks in Hands of the Broker

ADVICE OF PURCHASE OF SALE

23. A very important document used by commission merchants and brokers is the advice or notification to customer of their 212action in filling his orders. This advice is rendered daily to each customer and should be checked by him carefully, so that there may be no errors in the deals and no differences in opinion between the client and his broker. The advice would begin with the date and read something like this: "Mr. Geo. Bronson, Milwaukee, Wis.: We have this day bought for your account and risk, 100 shares American Car and Foundry (preferred) at 111⅛; 200 shares Canadian Pacific at 177; 100 shares Pullman at 187." On the lower part of the form, as shown in Fig. 7, are printed the rules of the house in regard to the order and it should be signed by some one in authority. If the customer accepts the same, it is an evidence that the transaction is according to orders.

STOCK RECORD

24. Owing to the fact that a very large amount of stock of various companies is being bought and sold continually by a brokerage firm, no book kept in the accounting department is of greater importance than the stock record. Not only is the broker's business with customers but it is also very largely with other brokerage concerns as he is buying and selling continually. Every share of stock which is bought or sold must be recorded in the stock record. This record shows: Record number, date, number of certificate, number of shares, from whom received, in name of, record number, number of shares, to whom delivered, and date of delivery, as in Fig. 8. It is not necessary in this book, to keep a record of either the price paid or the price at which sold, as this register is intended merely to show the disposition of the certificates of stock and whether they are still in the house, or if disposed of, to whom they have been delivered. It is needless to point to the necessity for the greatest care in keeping this record, as any errors might make it very difficult to trace the paper and result in loss, or at least considerable trouble for the house.

CASH BOOK

25. The general cash book for a brokerage firm in loose leaf should be sheet size 14 by 14 inches. In a bound book, it would not be necessary to have it more than 12 inches wide. In this particular business, it is not desirable to carry the general cash debit on one 213sheet and the general cash credit on another, although it might be advantageous in certain cases to run the grain in the general cash book and to keep a subsidiary cash book for the stocks, which might be run upon similarly ruled sheets, the total of the day's transactions being brought into the general cash at night. By doing this the posting clerk could be using one of the cash books while the cashier was working on the other.

Fig. 9. Broker's General Cash Book

At the heading of the general cash sheet appears the sheet number and either the date (providing one sheet or more is used for each day), or the month with an extra day column, next to the margin. The columns are ruled and printed to show stocks, grain, and general ledger on the debit side and the same on the credit side, with the posting columns and sufficient room for the names of customers in center, as in Fig. 9. In this cash book should be entered all payments for margin on purchases of either grain or stock, all deposits by customers, which should be carried into the column indicated 214by their account—if they deal in grain their account is in the grain ledger and if in stocks their account is in the stocks ledger. All items of receipts or expenditures, not from or to customers, should be entered in the general ledger column, except as shown in the subsidiary cash sheet called office cash disbursements. Cash book sheets should always be paged consecutively when made, and each sheet accounted for, if loose-leaf cash books are used.

The best binder to use for a loose-leaf cash book is a flat opening spring back holder, in which may be placed enough leaves to last for the month, to be used for the current work, and when the new month is started the sheets for the previous month are placed in a reserve binder—which should be of the sectional post variety—for reference. If the back of the binder is labeled as the front and the leaves are reversed when placed in the transfer binder, they will run consecutively as to pages and dates.

At the end of the month the totals of the grain ledger and stocks ledger are brought into the general ledger column and posted to the controlling account for that ledger.

OFFICE CASH DISBURSEMENTS

26. As there are a number of disbursements for office help, advertising, telegraph, etc., that should be kept separate from the general cash, it is very desirable to establish an office cash fund. This fund is started by charging to office cash in the general ledger a definite amount, say $500.00, which amount is drawn from the bank or set aside for special checking for the payment of all miscellaneous bills or drawings of principals on account of salary, also the drawings of salaried employes. This account may be as large as is required for the purpose, and when the office cash becomes depleted, more is drawn which can be added to the account. At the end of the month, a statement is made of the totals of the different columns which should be a duplicate of the office disbursement sheet. These totals are entered in the general cash posted therefrom, a check given for office cash disbursements for the amount of the interest, say $500.00, and credit given the account for the difference in the amount spent as shown by the statement.

215

Fig. 10. Detailed Record of Office Cash Disbursements

216The office cash disbursement sheet, shown in Fig. 10, should be 14 by 16 inches in size, with sheet number and month of, in the heading. The box headings are as follows: Day, item, posting, general ledger, salaries, office help, advertising, private wire, tickers, telephone and telegraph, special commissions, rent, and sundries. The office cash balance should be kept independent of the general cash balance and, preferably, by another clerk.

Entries should be made as money is disbursed, with the proper vouchers for the same, to be turned in with the report.

Fig. 11. Record of Margin Balances to Protect the Customer's Account

The totals of the different accounts, having been entered in the general cash, are posted to the debit of their respective accounts in the general ledger.

In localities where cotton is largely dealt in, or where tobacco is largely dealt in, it may be necessary to add columns for the tobacco ledger or the cotton ledger in the general cash, but in localities where the transactions are not frequent, the accounts for such transactions and also the deals in provisions are carried in the grain ledger.

217Any cash book sheet which should happen to be spoiled should be marked void in red ink, and filed in its regular order with the other cash sheets, but in no case should it be destroyed.

MARGIN BOOK

27. It is as necessary in the brokerage business to know the condition of customers' accounts as it is in a bank, and perhaps a little more so, as fluctuations in the market may wipe out his margin without his knowledge, and while it is not absolutely obligatory on the part of the broker to notify his customer, still it is very much to his interest to do so.

The margin clerk has the balance of each customer every morning. All orders to buy or sell received during the day pass through his hands and he makes the necessary memorandum against the customer's account. He keeps posted on the fluctuations of the market and immediately notifies the principals of any account which needs protection. After the trading for the day is finished, which on the board is 1:15 o'clock P.M. on any day except Saturday, and Saturday at 12:00 M., the margin clerk extends the balances of the various customers' accounts, these balances are checked by the bookkeeper from his accounts to prove their correctness, and a new list of the balances is made for the use of the margin clerk the following day.

This book is kept in most houses as a form of blotter, but the best form is a short sheet with numbered lines for the names of customers and a long sheet with similarly numbered lines divided into inch columns, with the balance column at the beginning and at the end, to be inserted under the short sheet, to care for the transactions of the day. By this means the names of customers will not have to be duplicated daily.

The sheets should be kept in a holder so that the names run alphabetically and the initial letter of the names on one short sheet should be penciled upon the long sheet each day. The bookkeeper can, if desired, have a duplicate set of the short sheets, shown in Fig. 11, to use for making up the balances for the succeeding day.

Where there are a sufficient number of accounts to warrant, they should be divided by tabbed index sheets with a leather tab projecting, in alphabetical arrangement, so that any account may 218be turned to instantly; for instance, if the account of L. S. Tucker & Co. is wanted, turning up the tab T will bring to light all of the customers whose names begin with T. This index may be further subdivided if it is deemed advisable.

The sheets for each day's work should be dated at the beginning of the day and may be kept, if desired, for reference, although after they have been proven by the books, they are of no practical value.

Fig. 12. Ledger Account of Each Stock Handled

THE LEDGERS

28. Stock Ledger. Some brokerage firms, besides keeping the stock record, keep a stock ledger, opening an account with each line of stock bought or sold and posting therein daily from the orders. This ledger account, with each class of stock, indicates at all times just how much of each line is held by the house and is very necessary in order to show what may be sold if occasion demands. As a large amount of stock held by brokerage firms is usually deposited with their bank as collateral for loans, and, as it is frequently the case that portions of this stock must be delivered to customers or sold upon their order, it is necessary to frequently change the collateral deposited with the bank, substituting other stock for that taken from the bank.

BASEMENT SHIPPING PLATFORM, FARWELL, OZMUN, KIRK & CO. (WHOLESALE HARDWARE), ST. PAUL, MINN.

219

Fig. 13. This Shows a Variety of Rulings for the Customers' Ledger

220The stock ledger form in loose leaf is 13¾ by 14 inches, and the name of the stock should be inserted in the heading. It is ruled and printed to show: Date bought, preferred, common, extra column, price, account, date sold, preferred, common, extra column, and price, as shown in Fig. 12. Each sheet should have a number, and these numbers should follow consecutively. There are two ways of indexing these accounts. The one strictly in accordance with the theory of loose leaf is the insertion of the sheets in their proper alphabetical sequence. When the accounts are carried in this manner, leather tabbed index sheets appear at intervals throughout the ledger or ledgers. The division of the alphabet depends entirely upon how many accounts it is necessary to run and ledgers may be alphabetically subdivided into from twenty-five to two hundred divisions. The better the subdivision, the easier it becomes to turn to an account.

Since the majority of listed stocks are designated by initials or abbreviations in order to handle them with greater ease, some firms prefer to run the stock ledger on the numerical plan. By this plan each account is numbered and the accounts follow consecutively. Tabbed index sheets occur at intervals of from ten to twenty numbers, showing the location of any numbered account. With this arrangement it is necessary to keep a separate index of the various listed stocks, with their respective numbers, and to find an account the number of the stock must first be ascertained. By constant handling and entering, the bookkeeper becomes very familiar with the numbers and it is but little trouble for him to locate an account. The greater difficulty would be for someone who is unfamiliar with the books to find an account when wanted. Owing to this fact, the alphabetical arrangement is preferred.

29. Customers' Ledger. Brokers who deal in grain and other food products, cotton, and stocks, usually require ledger sheets slightly differing, to keep a record of customers' accounts. The different rulings are not frequently used for the same customer, as those who deal in grain are not often stock manipulators. As interest 221is charged to the customer for deferred payments upon stock deals, this item must be taken care of in the ledger. Upon grain transactions, the balance on the purchase price is not paid until the delivery of the goods, consequently there are no interest charges upon these accounts until after maturity.

Fig. 13 shows rulings of six ledgers used by prominent brokerage houses in Chicago and St. Louis, and a study of the different forms as to the columnar arrangement will show how varied are ideas in regard to ledger rulings. All of these forms are useful, and the choice is merely a matter of individual preference. One thing which should be borne in mind in regard to ledger rulings is that the information shown in the ledger account should be exactly the same as that which it is necessary to convey to the customer in his monthly or weekly statement. The reason for this is that it should never be necessary to refer to any book except the ledger in preparing customers' statements, and it will be noticed in the statement of Logan & Bryan, shown later, that it is not only a reproduction of the ledger account as to matter contained therein, but also follows it exactly in form and ruling.

This book is used the same as any other loose-leaf ledger with the exception that there is much more detail entered in these ledger accounts than is usual in a mercantile business.

Not more than one account should be entered on one leaf, for the reason that it is impossible to maintain a perfect alphabetical arrangement unless each account is absolutely independent.

After the names have been entered, the ledger sheets should be arranged alphabetically under each leather tabbed indexed subdivision. This arrangement should be carried, if necessary, to the fifth or sixth letter and when names are the same, like Smith, they are indexed alphabetically by initials. The brokerage business is one where there should be no loss of time in referring to accounts, hence the more perfect the indexing the more easily the account is located. Ledgers can be balanced daily by the aid of an adding machine without writing off the amounts of the balances.

The binders to use for this ledger are a current binder for active accounts and a transfer binder for closed accounts.

Postings should be made from the daily record sheet to the ledger as soon as possible after the consummation of the deal, and the postings 222from the cash book must also necessarily be kept up to date. At any moment the statement of the customer may be required, and it would be quite inconvenient for the broker if, on account of delayed posting, the statement were incomplete or incorrect. The number of customers' ledgers that should be kept depends entirely upon the number of customers. One loose-leaf ledger binder will accommodate at least five hundred accounts, and if the number exceeds this, two current binders should be used. By keeping the ledgers well gleaned and transferring closed accounts to a transfer ledger, the active accounts only remain in the current binder, which facilitates posting, statement making, and reference.

Fig. 14. Conventional Balance Form for General Ledger

Some firms use the vertical filing drawer for transferred accounts instead of placing them in another binder, as it is much easier to secure these accounts for replacement in the current binder in case the account is reopened.

30. General Ledger. A general ledger should be kept for the personal accounts of members of the firm, controlling accounts of subsidiary 223ledgers, controlling account of bills receivable and bills payable, and all impersonal accounts. This book may be in loose leaf if desired, although many firms prefer to use a bound ledger for this purpose. The best form is the regular four-column ledger, debit, credit, debit balance, and credit balance, as in Fig. 14.

The periodical statement of the condition of the firm is taken from the general ledger, and all subsidiary books controlled through its accounts must balance with the amounts shown therein.

Fig. 15. Broker's Statement to a Customer, Which is a Duplicate of his Ledger Account

Most large brokerage houses have branches in 224different cities and it is necessary to keep accounts in the general ledger with each of these branches showing the expense of the branch and the receipts therefrom, taken from the regular statements furnished at whatever period required. It is very necessary that the profits or losses from these branches be readily computed as it might be deemed expedient, if it were known that the branch was not doing well, to discontinue it. Frequent statements, complete in their nature as to receipts and expenditures, should be demanded.

The principal expense accounts of a brokerage firm are salaries, rent, private telegraph wires, telephone booths, tickers, advertising, special commissions, and sundry expenses. As before stated, the receipts are from commissions and interest. Commissions accruing to brokers from the sale of stock are twenty-five cents per share—twelve and one-half cents for sales, and the same amount for purchases.

CUSTOMERS' STATEMENT

31. In a brokerage and commission business, customers are very likely to demand a statement at any time, and even should they not do so, it is deemed expedient to make statements to customers often enough to keep them fully posted regarding the condition of their accounts. The best form of statement to use for this purpose is shown in Fig. 15, and is an exact reproduction of the ledger account. As these statements are made very frequently it is unnecessary to provide blanks with more than nine or ten lines.

BILLS PAYABLE RECORD

32. Taking into consideration the large amount of money borrowed in this business, and the constant fluctuation of the amount due to banks, it will be seen that a careful, complete, and simple bills payable record is a prime necessity. This usual record shows date of loan, call or time, from whom borrowed, to whose account, rate of interest, securities—amount, when paid; securities—when released. A more simple form of this record is shown in Fig. 16.

225

Fig. 16. A Detailed Record of Loans Payable During Each Month

226Loans made should be reported immediately to the cashier in writing, and the data concerning them should be entered at once in the cash book and the bills payable record. In some cases, banks arrange with the brokerage firm for what is called a blanket loan varying in amount—from $100,000.00 upward—according to the requirements of the firm. In increasing a loan of this character it is always necessary to keep upon deposit with the bank, collateral amply sufficient to cover the highest amount required, and any part of this collateral may be withdrawn by the substitution of other collateral satisfactory to the bank. In such a case there should be a blanket loan account kept in the general ledger showing, specifically, the collateral in the hands of the bank, and by the system of debit and credit, the record of that withdrawn and that substituted should be kept.

In case there is sufficient fluctuation in values to warrant, a bank can demand additional security at any time or the withdrawal of that held by them and the substitution of something more acceptable, or they may, upon call loans, demand a part or full payment at any time, in which case it is necessary for the broker to make arrangements to take up the loan at once.

JOURNAL

33. All orders received are copied from the order blank into the journal, as the order blank used is not of a character to allow its being numbered and filed consecutively, nor can it be readily adapted to the division of the buying and selling accounts.

The journal sheet should have debit and credit columns for each ledger used for customers, and a general ledger column as shown in Fig. 17. Entries from the orders are carried into the proper ledger column. If a man buys stock, he is debited in the stock ledger column; if he buys grain he is debited in the grain ledger column; and if he sells either, he is credited in the proper column.

In making a statement to the customer of purchase and sale, the profit or loss together with the commission charged is shown.

ILLUSTRATION

227

CHECK REGISTER

34. Most brokers have accounts with several banks; it is therefore necessary that a check register be kept with each bank, showing the date, number, to whom issued, amount of each check drawn, the deposits, and the daily balance, as in Fig. 18.

Fig. 17. General Journal in Which All Orders are Entered

By using this register the account with each bank may be kept separately, and the necessity for filling out stubs in a check book entirely avoided. Many houses have given up the use of check books altogether, having their checks padded in numerical sequence and as the numbers follow consecutively on the 228check register, each numbered check must be accounted for. In case a check is spoiled, the line should be voided in red ink, and the spoiled check filed with returned checks.

In case the office cash carries an account for itself from which checks are made, a separate check register should be kept for this account, as its balance does not enter into the general cash balance of the firm.

Fig. 18. Check Register Showing Condition of Bank Account

In no just sense can a broker be held to be the owner of shares of stock which he purchases and carries for a customer, and it is a breach of trust to use this collateral to his own advantage. The certificate of shares of stock is not considered, according to the decision of the Supreme Court of the United States, property itself; it is but the evidence of the property in the shares.

To sum up, the accounting work in connection with the brokerage business is in taking care of the orders received from customers, being sure that they are correctly interpreted and promptly filled, 229noting the loans necessary to complete the contract, keeping a careful record of commissions and interest due the house, being watchful in regard to the margins of customers, and arranging all accounts with customers so that they may be kept up to date and instantly available.

GLOSSARY OF BOARD OF TRADE TERMS

BEAR: One who believes the conditions are ripe for a decline in prices, or one who desires such an event. One may believe that the price of a certain security is about to decline and therefore is said to be a bear on that particular security, whereas he may not be so on others. The natural attitude of a bear is that of a seller but he may be so for the sake of buying at a lower price later.

BEARING THE MARKET: An artificial lowering or forcing down of prices.

BID PRICE: The price offered or bid for any security or commodity.

BORROWING STOCK: A broker borrows stock when he has made a contract to deliver and the stock which he has sold, for any one of various reasons cannot be delivered at the time agreed.

BREAK IN THE MARKET: A sudden and considerable decline in price.

BROKEN LOT: Same as odd lot in reference to stocks and less than ten thousand dollars par value in bonds.

BUCKET SHOPS: Offices run by irresponsible brokers not members of any stock exchange and who do a marginal business upon one dollar per share and upwards. As a matter of fact the stock itself is neither purchased nor sold for the customer by these operators. If the order is actually executed upon a bonâ fide exchange then the bucket shop puts in a contrary order for a like amount. For example: This kind of a dealer would sell an amount equivalent to a customer's purchase or purchase an amount equivalent to a customer's sale, thus, in no event carrying stocks.

BULL: One who believes that conditions are ripe for an advance in prices or one who desires such an advance and talks bullish in consequence. One writer defines a bull as a man who has something to sell, consequently he is anxiously waiting for prices to go up that he may sell at a good price.

BUY AT MARKET: An order to buy at the lowest prices at which the security can be obtained without any price limit being set by the one giving the order.

BUYER'S OPTION: A contract under the terms of which the buyer of a security need not receive delivery until the end of a specified time, but he has the right to demand delivery at any time within the period covered by the contract by giving the seller one day's notice. The understanding is briefly expressed as "buyer 4," "buyer 10," the figures indicating the number of days provided for in the agreement.

230BUYING ORDER: An order given to a broker to buy a certain security with or without limit as to price as the case may be. An order to buy is good for the date for which it was given only, unless otherwise specified. Sometimes an order is given "until countermanded" or "until cancelled" by which the broker understands that there is no definite limit as to time; but brokers usually remind their customers regarding orders to be sure that they still desire them to be kept in force.

CABLES: Telegrams from foreign countries on the conditions of the market. Large brokers receive cables each morning from London, Paris, and other points giving closing prices of grain and provision in that market.

CALL: A privilege which one party buys of another to call (receive) from him a certain amount of stocks, grain, etc., at a certain price and date.

CARRYING CHARGES: The interest charged by brokers for the amount of money advanced by them to customers in marginal transactions; also used by a Chicago firm to indicate storage rates, interest, and insurance on grain or provisions.

CASH GRAIN: Grain for delivery at once. Spot grain has the same meaning.

COMMISSIONS: The charge made by any broker for buying or selling securities for someone else.

CURB: Securities which are not traded in upon the large stock exchanges or new securities which have not yet been listed upon such exchanges are handled in what is known as the curb market. The reason for the existence of "curb market" in the open rather than in some building is that if the latter plan were pursued there would, in truth, exist another exchange, and it would not be permissible for a member of the regular exchange of the same city to be represented thereon as he frequently now is upon the curb.

CURBSTONE BROKER: One who usually, not being a member of the stock exchange, goes from office to office or transacts his business on the curb.

DELIVERY: The actual turning over to the buyer of the thing bought. If delivery is offered after hours, the buyer may refuse it until the following business day, but the seller has no right to demand interest for extended time.

DIVIDEND: A portion of the profit of a corporation authorized by the board of directors to be paid to the stockholders.

DUMP: An amount of stock that is forced upon the market for the purpose of getting rid of it. It does not mean so much the disposing of an undesirable investment but in offering any investment in large amounts.

EVEN: A broker is even on stock when he has contracted to receive and deliver equal amounts of the same stock with another broker. A settlement of the difference in prices is the only thing called for.

FLURRY: A small panic. An excitement caused by a rapidly falling market and advancing money rates.

231FUTURES: Buying or selling grain for future delivery. Literally speaking when you buy grain in February which is known as May grain you contract for delivery in May at prices then existing.

IN SIGHT: The amount of grain, coffee, cotton, tobacco, or any commodity available for immediate use.

LIMIT: A price which a broker must not exceed in executing an order for his customers. It may also be a restriction of the amount to be purchased or sold.

LISTED SECURITIES: Securities before they can be listed upon any board of trade or stock exchange must have complied with certain rules of the exchange. This does not imply that listed stock has any greater intrinsic merit than unlisted stock but it merely shows that certain facts and figures in relation to the security have been given more or less publicity.

LONG: One who holds stock or grain for a rise in price, or, one who has a contract under which he can demand such stock or grain on or before a certain day. The opposite of short.

MARGIN: An amount of money deposited with the broker to insure him against loss; a part of the purchase or selling price.

O: The "Ticker" abbreviation for offered when accompanied by figures; for instance, "G. N. O. 76" would mean that Great Northern Common Stock was offered at $76.00 per share.

OPEN MARKET: A market where any or all may buy or sell.

OPEN ORDER: An order which is good until cancelled.

OPTION: An agreement of purchase or sale, good only for a certain time.

PIT: The portion of the board of trade where floor trades are made. This term is particularly applied to Chicago. Other stock exchanges set aside certain places signified by posts set in the floor for trading and in these exchanges the trading points are called posts instead of pits.

POOL: A combination of buyers who work together and invest their joint capital as one. (The different boards of trade have enacted strict rules against pooling.)

PUT: A privilege which one party buys of another to put (deliver) to him a certain amount of stock, grain, etc., at a certain price and date.

PUT AND CALL: A put and a call may be combined in one instrument, the holder of which may either buy or sell as he chooses at a fixed price and date.

REMARGIN: To give more margin.

RING: A combination of brokers to offset and settle trades with each other; also an exclusive combination of persons for a selfish purpose as, to control the market. (Rings have the same standing in the board of trade as pooling, if of the same character.)

SELL AT MARKET: An order to one's broker giving authority to sell stock or grain at market price.

SELL AT OPENING: An order to sell immediately after the opening of the stock exchange at the best price obtainable.

232SELLING ORDER: An order given to a broker to sell a certain security with or without limit as to price, as the case may be. A selling order is good for the day for which it is given only unless otherwise specified.

SETTLEMENT: The payment of differences in trades between brokers.

SHORT: One who has sold for future delivery what he does not own, but hopes to buy at a lower rate.

SKYROCKETING: Pushing the prices of securities up to unnatural levels or forcing the price up with startling rapidity.

SLUMP: A sudden and a considerable fall in prices.

SPREAD: A "put and call" at differing prices.

STOP LOSS ORDER: This is a method of limiting losses by giving a stop order to the broker to sell if stock declines below a certain point. These are sometimes called stock orders.

STRADDLE: A "put and a call."

SWEETEN: To give more collateral or margin.

TICKER: A small printing machine operated by telegraph by which the outside world obtains the reliable information as to the prices of securities and commodities dealt in upon the principal exchanges of the world. It is a never failing source of information to the broker. The results are printed on a strip of paper like a ribbon which automatically unwinds and after passing under the printing device runs into a basket. The ribbon is called the tape. All fluctuations in prices are thus wired to the principal exchanges immediately.

WASH SALE: An illegitimate or fictitious transaction.

THE WHOLESALE HOUSE OF MARSHALL FIELD & CO., CHICAGO, ILL.

235

BILLING AND ORDER RECORDING[5]

Introduction. The survival of the fittest applies most forcefully to business men and their methods. The success of the men depends upon their methods; the efficiency of the methods, upon the men. Large corporations of to-day would be impossible without method. They plan their work, and method tells them daily whether they are working their plan successfully or unsuccessfully.

5.  Copyright, 1909, by American School of Correspondence.

It is commonly supposed by the smaller business men that method is a result of business growth. Sometimes it is. If a business grows fast, better methods become a necessity. Without method any business must remain small—with few exceptions, just as small as the capacity of the man at the helm. "To the extent which system is intelligently used, it multiplies one's powers of achievement in all directions."

The importance of the order billing and shipping departments, the amount of waste effort therein, and the relation of each to all other branches of the business, make them a most interesting and profitable study for the progressive business student, whether he be a beginner, an executive, or an owner. To attain quick results and to eliminate useless head, hand, and leg work, learn the capacity, capability, and usefulness of office machinery and the short-cut methods made possible thereby.

During the last eight years there has been a tremendous amount of improvement made both in this country and abroad in handling office work, changing from hand to machine methods. Most of these improvements have been literally forced upon the business men of the country by specialty companies having labor-saving devices for sale. Wide-awake merchants have in some cases left the installation of such devices to office people who feared the loss of their positions through the use of them.

236One of the pioneers in the development of the class of work above mentioned is Hiram J. Halle, who overcame all obstacles, and gave the impetus to modern billing methods which has been such a help to our economic results in office practice. The typewriter companies have followed his lead and equipped cylinder machines with the necessary attachments for accomplishing almost any desired result, except writing in a bound book. In order to overcome this obstacle, the McMillan and the Empire and some other loose-leaf books have been invented. These books are loose-leaf only while they are being written upon; after completion they are permanently bound by a simple device, and become as secure as a sewed book.

In any book of this character, the student must consider the text as a series of problems, with explanations of how each has been solved. If the student does not learn to exercise his own powers of originality as a result of a study of this volume, he will fail to secure the result intended. Rarely, if ever, will two problems be met in two commercial establishments which will be alike. The judgment of the person installing the system will determine the best method to be used under certain conditions.

Before starting in on the regular work, it will not be out of place to give a comparison of the methods of business in various foreign countries.

The rush in the business life of the United States is accounted for by our fast growth and national desire to accumulate wealth. Commercial concerns have grown both fast and slowly to undreamed proportions. Strenuous efforts have been made to secure business, and then a corresponding effort has been made to effect the small economies which in a large business aggregate large sums. As a nation, we are rushing at headlong speed, seeking all the means which will give us results. In transportation we advance from steam to electricity; in social life we turn from horses and carriages to automobiles; in commercial life we use every known device to short-cut the work and effect economies—adding machines, typewriters, cash registers, envelope openers, envelope sealers, multigraphs, etc.

A distinct surprise awaits the person visiting Europe on a mission of introducing "short-cut" methods. While we are in business to make all the money we can, most of the Europeans are in business to make a living, or reasonable earnings.

237Imagine the surprise of the writer when told by the managing director of one of the largest department stores in London that they did not care to save the services of thirty-five clerks (which was possible by modern methods) as they were making a certain amount of money each year, and did not care to make any more; besides, they did not wish to put these people out of positions. It is not an easy matter to secure positions in England. Employes are very diligent and pay strict attention to business. A manager of one of the large banks in London said that once a clerk is hired he is discharged for gross misconduct only—not even for incompetency. There are young men clerks (pronounced clarks) in the Bank of England who are doing the same work for the bank as done by their grandfathers. There are old men in the Bank of England to-day who still use quill pens and the sand box instead of a blotter. There are, however, adding machines being used there by the younger generation, and they are of more use to them than to us in a way, as their currency is so much more difficult to add.

Each year, more improved methods are being introduced into England. Typewriters have been used for a number of years, and of late years adding machines have made headway. It is more difficult there to introduce new methods, but, once installed, it is difficult to dislodge them for other ones.

Some of the wholesale houses have very old methods. In one house in London, an order was copied twenty-nine times from the time it was received until it was finally charged. The concern was over two hundred years old and had never made any effort to improve its methods. It had four boys whose duty it was to hunt orders lost about the warerooms. A system of manifolding was installed, which eliminated so much waste of time in copying and recopying orders that it was difficult to convince the firm that something had not been overlooked. After four weeks they were delighted.

An American going abroad is much impressed by the deliberation of Europeans and is inclined to criticise them for it. After a time, they can point out enough Americans who have worn out at forty years of age, and are in Europe seeking health, to convince them that perhaps the Europeans are not wholly wrong.

In Germany, the railroads are controlled by the government. When one attempts to introduce short-cut methods, he is confronted 238by the fact that work is needed to keep busy old soldiers for whom the government has to care. In asking an agent of an American firm dealing in labor-saving devices why he did not use any of the devices, the answer was given that in Germany the young men work three years for nothing; he did not feel the necessity of doing away with any of them. At the end of three years' work in an office, a young man receives a diploma for efficiency, if he has attained it. The government exercises a strict supervision over all commercial concerns, and inspects their books at periodic intervals. Commercial failures are therefore more rare there than at home. Fraudulent schemes are dealt with severely.

There are many large firms in Germany, both jobbers and manufacturers, that are striving to be progressive. The Siemens-Halske Electric Co. are just as progressive in their order and billing methods as any American firm in the same line. To show the attention to details given by the Germans—a managing director of one of the large department stores in Berlin, when asked how long he had lived in the United States, said he had never been there. Upon being complimented upon his American accent, he replied that when talking to an American he always used the American accent, slang, intonation, etc., and when talking to an Englishman he changed his accent, etc., to correspond. He had all the American devices in his accounting department which one would find in any department store in the United States, and sent out monthly typewritten bills the same as John Wanamaker, Altman, and others of New York, and the same as all large department stores do in all American cities.

In France, the commercial houses are very conservative and are subject to the same government supervision as practiced in Germany. In one of the railroad companies, the Chemin de fer du Nord, they use the manibill system of billing (whereby each shipment is billed separately and manifolded on a form of seven sheets) which is the shortest form of billing known, but which has never been adopted by American railroads on account of the bulk of papers increasing too rapidly. The present American method is to put several shipments on a way bill for shipments to any given town, and when the goods arrive at the given town, the receiving stations make out separate freight bills for each shipment, copying the information from the blanket way bill made out at the forwarding station. Some 239of the American railroads are now adopting the special roll machine for car accountants' work, as shown in Fig. 1.

Fig. 1. Underwood Special Roll Machine for Car Accountants' Work

The French people do not, as a rule, form large companies like the Americans and Germans and English. There are a large number of small manufacturers and jobbers in France. The large department stores, like the Louvre, in Paris, are run on a strictly cash basis.

MACHINES FOR MANIFOLDING

Neither the billing machines (book-writing machines) nor typewriters were originally intended for heavy manifolding work. The flat-bed billing machines were originally invented to write in books used for court records, sales books, etc. The book was to remain 240stationary and the machine was to travel over the books. The flat-bed machines are the only machines made for writing in bound books—the latter are being gradually replaced by loose-leaf books. A flat-bed machine for bound books is shown in Fig. 2.

Fig. 2. Flat-Bed Typewriter for Bound Books. Elliott-Fisher Co.

The typewriter was originally intended to write on one sheet of paper only. If extra copies were needed, a copying ribbon was used, and a wet copy taken in a letter-press book. In the evolution from bound books (official record and commercial) to loose sheets, the book typewriter was equipped with devices for holding loose sheets of paper—used alone or in connection with books. In the evolution from letter-press copies to carbon copies, the typewriter was equipped with hard-rubber and brass platens for taking from one to twenty-five copies, and in some cases even more, with extremely thin paper and carbon paper.

241The flat-bed billing machines are equipped with heavier type-bar springs than the cylinder machines. The operator in depressing the keys overcomes the additional resistance to the touch, due to the heavier type-bar springs, and strikes a heavy blow on the paper, making a good manifold copy in all cases. The operator on a cylinder billing machine strikes a heavier blow than usual to secure the heavy manifolding results. The heavier the blow, the clearer the result on a billing machine. The Underwood billing machine is shown in Fig. 3.

Fig. 3. Underwood Billing Machine

All typewriters equipped with special attachments for holding the sales sheets, invoices, and orders are called cylinder billing machines. The paper upon which the machine writes is held by, and passes over and around, a round rubber roll, the cylinder.

This is in contrast to the flat-bed billing machines (or book 242typewriters) on which the paper lies flat on a rubber plate while the machine moves over the paper.

Development of Billing Machines. This text has been prepared by taking the simplest forms of billing and order work, and leading up gradually to the more complicated forms. This is actually what took place in the improvement of office and factory work.

A bill and a copy were first made—an extra sheet was made for some additional purpose. The advantages of doing two or three things at once led to further investigation. This resulted in still additional sheets being used for other purposes. Every time an additional sheet was added, the labor of typewriting that sheet separately was eliminated.

Gradually it developed that it would be useful to copy a part only of the typewritten information on some of the under sheets. Means were found for accomplishing this. For instance, on an order form, it was desirable to have the prices show on the office copy, but not on the copy which was intended for the warehouse or factory.

In some cases it was desirable to write all the information on the top copies and split up the information thereon on the sheets underneath. The final development of all the above ideas is embodied in the compound form, in which all sheets for the office, customer, warehouse, factory, shipping room, and loading platform are typewritten at one operation, and the invoice and duplicate finished as a separate operation.

Wholesale and manufacturing lines are used mostly in this text to illustrate the evolution and improvement of billing and order work. Some of the conditions which have to be considered in installing office systems are as follows:

Whether the orders are received from customers or salesmen or both, and which are in the majority.

Whether the goods are carried in stock or manufactured or bought outside, or all of these.

Whether the orders can be filled completely, or nearly so.

Whether or not the factory may know the prices.

Whether the goods are shipped by freight, mail, express, or all of these.

243Whether copies of the bills have to be made for any other purpose.

Whether a copy of the sales sheet has to be sent to the home office, or made for any department.

If additional copies of either are necessary, what colors to use for readily distinguishing them.

How many ledger clerks, and how to sort their work to the best advantage so that each clerk handles his work only.

How to file office and factory copies for quick reference.

How to plan all the above so that improper filing of sheets does not destroy the chain of record.

The reasons for these considerations will be better appreciated after further progress is made.

If the business student learns the capabilities of office machinery, the advantage of manifolding, the use of colored papers, and the important feature of correctly grouping statistics (which is almost an art in itself), he will have accomplished much. He should learn also to develop his own power of originality and suggestion.

The natural order in which order billing and shipping ought to be presented is the way in which the transactions occur. Methods of billing (making out invoices) in many businesses govern the manner in which the orders are made up, and therefore will be considered first.

In order to more clearly bring out the advantages of new methods, it is deemed advisable to consider old-style methods and contrast them with the newer ideas. By showing the weak points in the older methods and why the new are better, the gradual evolution and improvements can be traced.

Old-Style Method of Billing and Making Wet Copy in Tissue Book. There are enough firms who still follow this plan of billing to resent the term "old-style." The best that can be said for this plan is that it is shorter than writing the bill-and-sales book, or sales journal, separately. The wet copy takes the place of rewriting the bill. One objection to this method of copying bills is that if all the bills are copied some of them are either blurred or are too light when the copy has dried on the tissue leaf. This is a difficulty which can be corrected by careful attention.

The worst feature is that one never knows whether all the 244bills have been copied, and there is no way of knowing this unless the copies in the tissue book are checked back with the orders from which the bills were made. Many firms spend thousands of dollars in advertising, traveling expense, labor, etc., ship out and bill large invoices of goods, "double check" the invoices, and leave the copying of the invoices in tissue books to a young office boy. They never think to check back the invoices with the orders to be absolutely certain that the goods have been charged as well as invoiced (billed out).

Fig. 4. Old-Style Cloth Bath. Underwood Typewriter Co.

If one should ask them how they know that all invoices are charged (or copied into the tissue books) the invariable answer would be, "Oh! we never lose any bills before they are copied." Ask them how they know none are lost and, after thinking a while, they will admit that they really do not know for sure. They begin to check back the tissue book after some customer brings in a bill for payment which has never been copied into the tissue book, and hence has not been posted to the customer's account.

Fig. 5. Old-Style Copy Press. Underwood Typewriter Co.

Fig. 4 shows the old-style cloth bath, Fig. 5 the old-style copy press, and Fig. 6 the old-style sales book (tissue paper leaves).

LOOSE-LEAF SALES SHEETS AND INVOICES

This style of billing was the first variation from the plan of using copying ink, or pencil, on invoices and then transferring the ink to tissue paper books, by wetting the leaves with water and then absorbing the surplus water with paper blotters. Or this was done by placing damp cloths on the under side of the leaf and covering 245it with a leaf, placing the invoice downward on the tissue leaf, closing the book, and placing it in a copying press. The ink from the invoice was sufficiently transferred to the tissue paper to make an impression thereon.

Fig. 6. Old-Style Sales Book. Underwood Typewriter Co.

If the person who did the copying did not use due care, the paper would be too wet and the ink would run and blur the copy and the invoice. If two invoices were accidently picked up by the person copying, the top invoice would not be copied on the tissue sheet. This is a most serious objection, for the reason that the copy in the tissue was used as record of the invoice for the purpose of posting into the ledger.

Another difficulty was the usual one experienced through the use of bound books in office work. Only one person can use a book at one time. If Fayette Henry, the accountant, was using the tissue-copy book, and Dave Pike, the order clerk, wanted to use it to see if all invoices had been copied by the office boy, he had to wait on Fayette Henry. The loose-leaf sales sheet shown in Fig. 7, with the pages serially numbered and placed in proper binders after each sheet has been filed, overcomes all of the difficulties mentioned—with many additional benefits.

246

Fig. 7. Loose-Leaf Sales Sheet and Invoices. No Ruling on Sales Sheet. Remington Typewriter Co.

247The loose-leaf sales sheet and invoice were first used with the flat-bed billing machine, the sales sheet being held in position by being placed over studs (round metal posts), which fitted into the punched holes in the edge of the paper. These punched holes were used ultimately for fitting over the metal binder posts in the loose-leaf binders. The invoices were wider than the regular-size invoice and were perforated about 1 inch or 1½ inches from the left side, as shown in Fig. 8. To the left of the perforated edge were two small holes about 2¾ inches apart, which fitted over two small studs on a sliding bill-holder device. This plan provided a means of holding the large sheet and invoice in proper relation to each other. A piece of carbon paper the same size as the sales sheet was placed between the invoice and the sales sheet. This ruling of the sales sheet is shown in Fig. 9.

Fig. 8. Invoice for Use on Billing Machine

When an invoice was written on the billing machine, it was manifolded on the sales sheet beneath. When the invoice was finished it was ready to mail—no delay in copying invoices, no blurred invoices through careless copying. No fading of the manifolded copy where black carbon paper was used. Inks are not made of indestructible carbons as black carbon paper is made. A condensed billing or invoicing loose-leaf sales book for this purpose is shown in Fig. 10.

The following are some of the many good features of the condensed system, as it is in use to-day, briefly stated:

248

Fig. 9. Loose-Leaf Sales Sheet

249Bill and entry in sales book are obtained at one operation.

Entries upon sales book agree absolutely with bill rendered.

The bill clerk becomes bill and entry clerk combined.

There is no danger of a bill being rendered without the proper charge being made.

Entries under this system occupy but one-fourth the space required for those written with the pen.

There is no waste space upon sales sheet.

Both sides of the sales sheet may be utilized.

The saving in vault space alone is worthy of special consideration.

Fig. 10. Condensed Billing or Invoicing Loose-Leaf Sales Book.
Underwood Typewriter Co.

In recent years, the typewriter companies have placed devices on their typewriters which permit of the sales sheet being held independently of the invoices. This permits one to hold the large sales sheet in the machine until enough invoices have been manifolded thereon to cover the page, at which time the sales sheet is reversed. The invoices can be placed in the machine and removed therefrom after being written, without interfering with the sales sheet. No 250extra width of invoice is required, which permits of old stationery being used in the form of invoices. The flat-bed machines can use old stationery, but not quite so well. However, when billing by machinery, it is false economy to use stationery designed for pen work. The reasons for this will be touched upon later.

The use of two ledgers necessitates the use of two columns at the right side of the page. All names from A to L are placed in the first column; all names from M to Z are placed in the second. For instance, an invoice reading as shown in the sales journal, Fig. 11, illustrates the idea of writing the totals in the two columns at the right side of sheet according to the initials of the last name of the firm or the individual, as the respective ledgers are arranged in that manner. If at the end of the month the first column shows a total of $3,000.00 the bookkeeper knows that he has posted that amount into Ledger A-L, etc.

The above plan enables the bookkeeper to add separately the totals which are posted to the respective ledgers. The desire to separate the charges to a country ledger and a city ledger can be accomplished by using two columns in the same way.

The desire to place all credit memoranda in the sales book can be accomplished by using two columns in the sales book as noted above. The first column is used for the charges, and the second one for entering the credits. One difficulty arises in connection with this plan. Credits are liable to be entered in the debit column. To obviate this, the invoices are made just wide enough to reach over the first column, the credit memoranda are made wider to reach over the last column. When an amount is written in the last column of the invoice, it manifolds in the proper column of the sales sheet. The same is true of an amount written in the last column of a credit memo.

This subdivision of columns is carried a step further to permit of the analyzation of sales in several ways.

According to classes of goods, as follows:

LAMSON FOUR-INCH PNEUMATIC TUBE ORDER CARRYING SYSTEM FOR A LARGE WHOLESALE ESTABLISHMENT OR A FACTORY
Lamson Consolidated Store Service Co.

251

Fig. 11. Sales Journal Arranged for Distribution to Two Ledgers

252According to territory, as follows:

According to salesmen, as follows:

To separate the sale of regular goods from goods which are being sold on consignment, as follows:

Generally the invoice is wide enough to reach over the total column only, as shown in Fig. 12. Therefore, a total amount written in the total column of the invoice will manifold onto the sales sheet, and in the column marked Total.

A wide-carriage billing machine, if used, can be adjusted with tabulator stops to jump to any column desired. The total amount is then written therein a second time. The amount of the total column should always equal the total of all the columns placed to the right of the total column. This plan eliminates the old way of waiting until the end of the month, and then laboriously going over the 253sales book with one total column only, and picking out the various items according to the classification wanted.

Fig. 12. Loose-Leaf Sales Sheet and Invoices with Columns for Distribution of Labor and Stock

The work should be planned in a manner which permits of each day's work being finished each day—leaving nothing to accumulate until the end of the month, necessitating the retracing of steps to secure certain statistical information.

In certain lines of business it is desirable to make two sales sheets, 254one of which is retained in a binder for an office record and the other is used for various purposes. It can be used as record of sales from a branch to a home office, each page being numbered in duplicate, and of a distinctive color. This is the plan used all over the world by the Standard Oil Company. As the sales sheets arrive at the home office, they are placed in their respective binders and are gradually made into a built-up book. The loss of a sheet would be instantly detected by the missing page number.

A large French perfumery firm in New York pursues this plan, and sends to Paris the duplicate sales sheet on thin paper. It gives the home office a fine record of every invoice sent out to any customer by the branch office or warehouse. As several invoices can be manifolded on each page, and on both sides of the sheet, it is the most economical method of billing as far as stationery is involved. The name condensed billing indicates this fact.

In other instances, the duplicate sales sheet is wide enough only to allow quantity and description of goods to be manifolded thereon, prices and extensions not showing. This narrow sheet can be used for posting to the stock records without disclosing to that department the prices at which the particular goods have been sold. This form of the sales sheet is shown in Fig 13.

Duplicate Invoices. There are many reasons, in various lines, why duplicate invoices are desirable and even necessary. Some customers request invoices rendered in duplicate with one copy complete, the other minus the prices and extensions. To accomplish this, it is either necessary to place a piece of paper between the carbon and duplicate invoice in such a manner that the prices and extensions will not copy, or to use a short invoice cut off at the left of the price column, or to use a short piece of carbon paper between the original and second, or duplicate, invoice.

It is desirable to make extra copies of invoices or duplicates for the use of various departments of a business, for instance, analysis of sales by salesmen. Where a company employs a large number of salesmen, it is very convenient to file in binders a duplicate copy of all invoices sold by each salesman, using a binder for each salesman. This is preferable to having separate columns in the sales book (sales sheets in binders). The latter method permits each salesman to see what every other salesman is doing.

255

Fig. 13. Sales Sheet for Condensed Billing

256Department Records. A separate binder allows each man to consult his record without inconvenience to any other one. In large companies having a traffic department, it is necessary to provide a duplicate copy of each invoice for the record, showing complete details of every charge.

A distinction should be made between those firms who make their invoices before the goods are shipped, and those who make the invoices after the goods have been shipped. In the cloak business, for instance, the goods are generally billed before the goods are shipped, the invoice being placed in an envelope and packed with the goods.

Ofttimes the goods are manufactured in proper quantities, properly checked from the order to the packers' table, and then packed improperly—some customer receiving too many garments, another, too few. Yet the order will be properly checked. To obviate this difficulty, a scheme was devised whereby the packer received a duplicate typewritten copy of the bill (or invoice) showing everything but the quantities. This makes it necessary for the packer to count all the garments and mark down in pencil on this copy of the bill the quantity of each style and kind to be shipped. Before the goods are shipped, the packer's copy of the invoice, with his quantities marked in lead pencil, is compared with the quantities charged on the sales sheet. This scheme forces the packer to count all garments instead of double checking someone else's figures in an absent-minded, or even neglectful, way.

This is accomplished by placing a narrow strip of paper over the quantity column of the duplicate invoice, but under the carbon paper. The quantity figures manifold onto the strip of paper instead of onto the duplicate invoice. This plan is termed using a blind. The narrow strip of paper between the invoice and duplicate is the blind described a little further on.

The next step in short cutting work is the printing of a label in connection with the invoice and sales sheet. In the book business, where it is generally possible to fill orders from stock, and where the invoice can be made before the goods are shipped, it is possible to place a small piece of paper (the label) between a folded invoice in such a manner that when the name is written on the invoice it manifolds onto the label as well as onto the duplicate invoice and sales sheet.

257Analysis of Quantities and Amounts. In certain lines of business which sell three or four varieties of goods, it is desirable to analyze the weights or quantities in the proper columns, which in turn manifold onto the sales sheets, as shown in Fig. 14.

Fig. 14. Sales Sheet for Analyzing Quantities and Amounts of Goods

This saves a great deal of time as compared with making out the same invoice in the following way:

3000 # Brass Rods @20 $60.00
2500 # Brass Bars @21 $52.50
1000 # Zinc Bars @15 $15.00

By following the first plan, all of the weights for the respective classes of goods will be manifolded into the proper columns, and it is therefore an easy matter to total each column, and at the end of the month the classification of sales will be totaled according to weights as well as according to dollars and cents. The invoice is ruled to match the sales sheet.

Information on Sales Sheet Not on Invoice. In certain lines of business, such as wire-screen manufacture, it is desirable at times to substitute the next size of wire in order to fill orders promptly. In such cases, it is necessary to have the invoice show the size of wire ordered, but to have the sales sheet show the size really sent. It would seem impossible therefore to write No. 8 wire on the invoice and have No. 9 wire manifold on the sales sheet.

258The idea used to accomplish the desired result is to place the invoice in such a position with relation to the sales sheet that a margin is left on the left-hand side of the sales sheet, which would permit the operator typewriting directly on the sales sheet, and placing thereon the actual size of the wire shipped. The size ordered would be written on the invoice in the regular manner, and of course would manifold onto the sales sheet.

There are other cases where it is desirable to use this idea. For instance, wholesale dry goods firms when purchasing dry goods from eastern manufacturers request the latter when billing to use lot numbers furnished by the purchaser. It is also necessary for the manufacturers to bill the goods according to their own lot numbers. Hence it becomes necessary to have both the customer's lot number and their own on the sales sheet. This is accomplished by writing their own lot numbers directly upon the sales sheets at the left of the invoice and then making the invoice out in the regular way. This idea carries out the customer's wishes, and always gives a comparison of lot numbers to the manufacturers on their sales sheets. Flat-bed machines require wider invoice, Fig. 15.

Goods Purchased Outside. It is possible to make a short cut in some lines of business where the goods sold are not kept in stock but are purchased from other firms in the same city. When placing the invoice in the billing machine over the sales sheet, requisition blanks in duplicate or triplicate can also be placed in the machine with the invoice, and the items which have to be ordered outside written first on the invoice. When all of these items have been entered on the invoice, the requisition blanks may be removed, and the invoice and sales sheet left in the billing machine, putting the remaining items which are to be shipped and charged on the invoice (sales sheet). This occurs where orders can be shipped complete.

This plan can also be used when writing up the order, where the billing is done after the goods are shipped. It is to be remembered that there is a great distinction to be made in handling the billing work of firms who are able to fill their own orders complete, as contrasted with those firms who have to wait until goods are shipped in order to determine which items to bill. Some firms who always carry a complete stock are able to make up an invoice and order blank, a label for the express package, and a charge on sales sheet, simultaneously, because they know that they can ship every item called for, and consequently do not have to wait to see what items are shipped before billing them.

259

Fig. 15. Form to Provide on Sales Sheet Information not on Invoice

260Unit Billing. The unit idea in billing has grown considerably in the last few years, notwithstanding that the size of the bills have to be uniform, and as large an invoice has to be used for one item as for a large bill. Many firms prefer the unit idea to the condensed sales sheet idea.

This is due chiefly to the elasticity of the scheme. The duplicate, triplicate, or quadruplicate of the invoice can be sorted in any desirable way. It is especially convenient for bookkeepers to sort duplicates of the invoices alphabetically, and save a great deal of time in posting to loose-leaf ledgers arranged alphabetically, in the same manner. (In mentioning loose-leaf ledgers, card-ledgers are always included, as the same principles are applied to one as to the other, as far as accounting methods are concerned.) It is easier to handle unit billing forms on the typewriters with billing attachments, which is an added reason that many firms prefer to use them. Some of these forms are shown in Fig. 16.

Another idea to be recommended is the color scheme, whereby each copy of the invoice is manifolded onto a different-colored piece of paper. In sorting the various copies for different departments, different colors will greatly facilitate the recognition of various sheets, and the uses or departments for which each is intended.

ORDER WORK OF WHOLESALE GROCERS

There are hardly two firms who handle their order work alike. The first consideration in treating order methods is to distinguish the classes of business in which the orders are made up ready for execution by the salesman, from those which are received from customers and transcribed on typewriters. The first class will be discussed separately from the second.

Wholesale grocers, druggists, and similar lines receive the great majority of their orders from the salesmen in the field. After the orders are opened, the first step is to stamp on each order a number with an automatic numbering machine. After this is done they are copied into an order register as follows:

261

Fig. 16. Samples of Unit Billing. Remington Typewriter Co.

262
1012 John Smith & Co., Plainfield, N. J.
1013 A. B. Jones & Bro., Providence, R. I.
1014 U. J. Benedict, Elmira, N. Y.
1015 Grace Barnes & Co., Alliance, Ohio.

After the orders are filled and charged, they are checked on the order register. About once a week all of the unchecked numbers on the order register are compared with the unfilled orders. If an order should become lost, the fact would not remain unknown longer than one week's time.

It should always be remembered that in case an order is not completely filled and is "back ordered," the back order should always show the original order number in order to prevent confusion. A little practical experience will quickly show how wrong it is to use a new number for a back order.

Back Orders. In the problem of systematizing any kind of business, the question of back orders and the proper method of handling them is one of the most troublesome. Some firms do not wish an order blank returned to the warerooms after it has once been there, because they do not wish the wareroom or factory to know the prices which are placed on order blanks in the office after they have been received there for pricing, extending, and billing. Many firms therefore make an entirely new order to be returned to the factory or wareroom with the letter A used in connection with the order number, as follows: 1013A. This of course delays the filling of the order until the back order is typewritten. If it is necessary to make a second back order, the same would read 1013B. Other firms use the color scheme. This is a very good idea, as it indicates clearly to the order fillers old orders which should receive attention first.

Many important improvements in the order and billing methods have been inaugurated in recent years in the business of wholesale grocers. Formerly it was the custom, after the order had been numbered and recorded in the order register, to pass the orders out into the warehouse with the general understanding that they were to be filled as quickly as possible. The order fillers would generally start at the top floor and pick all of the items which were to be shipped, place them on a truck and take them to the next lower floor, and follow this plan until the order was entirely filled. In stores above a certain size this resulted in considerable delay.

263The first improvement was to send the orders to the shipping department, where they were split up by clerks known as Slippers, who wrote on slips the items which were to be taken out of stock, each slip representing the goods to be gotten out on a certain order from a certain floor. This idea allowed the order fillers on all floors to work simultaneously, and resulted in considerable saving of time.

Another favorable result obtained through this system is that the shipping clerk retains an original copy of the order (the copy sent in by the salesman) and is enabled therefore to follow up all departments and hurry up any department which may be delinquent in the filling of a certain order. In planning work, it is always advisable to have one department act as a follow-up on some other department. In the grocery business, it is much more satisfactory for the shipping clerk to have a complete record of all the orders to be shipped that day, than to hand the original orders into the warehouse to be sent down to the shipping department after the order has been entirely filled, and then have the shipping clerk rushed at the last minute to plan his loads and do all of the clerical work, such as making up bills of lading, etc.

The next improvement was necessitated by a desire on the part of those wholesale groceries which are located in cities having an efficient interurban electric car service to fill orders at different hours of the day. One western firm transcribed all of its orders on cylinder billing machines, giving the shipping clerk a full copy of the order, and each department a copy of the items which are to be filled from that department only. On the shipping clerk's copy, the notation 11 A.M., is marked, also on all of the department order slips. This indicates that the order is to be shipped on the 11 o'clock car. Other stationery is printed with the 1 P.M., 2 P.M., 3 P.M., 4 P.M., 5 P.M. to indicate the hours at which the orders are to be shipped. Many small retail merchants delay ordering until the last minute, and the wholesale house which can give the promptest service gets the business. The above plan advises the shipping department the time that the goods are to be delivered, and makes it responsible for results. All delays are noted, and a daily report made of the causes, which are promptly investigated and removed.

264Split Orders. Some wholesale drug houses have their stock arranged on different floors, of which their salesmen are fully advised. If the salesman takes an order for goods which are held in stock on four different floors, he sends in the order on four sheets of paper with the items for each floor written on the respective sheets which indicate the respective floors. Different-colored sheets of paper are used for the various floors. This scheme puts more clerical work on the salesmen, but it enables the office to quickly hand each department its part of the order without the delay of transcribing the department slips on the typewriter at the office. In all order schemes where an order is split up and written on several sheets of paper in order that each department may fill the order without delay, the term split orders is used. In all split-order schemes, the number of sheets in which the order has been divided is written on each sheet. For instance, if there are departmental order sheets for three different floors, the figure 3 is marked on each slip. In this way the biller, by counting the number of sheets attached to the complete order, will know that all of the split-order sheets have been returned to the office. Fig. 17 illustrates this system of orders. The three blank sheets at the top are departmental order sheets, and each contains only a part of the whole order. This is accomplished by removing one departmental sheet at a time from the billing machine, but allowing the three top sheets to remain in the machine until the entire order is written.

Some firms are willing to make four copies of an order, each copy containing all of the items of an order. Other firms do not wish the employes to know what a customer is buying outside of the goods relating to the department in which the employe is working. Further, sometimes two departments in the same factory are equipped to make the same class of goods, and if each department received a complete copy of the order there might be some confusion and duplication in the filling of the order.

Some firms, instead of making split orders, make a summary of the goods to be delivered from each floor, giving each floor several of these summaries in the course of a day. The goods are delivered to the shipping department in large quantities, and are separated by the shipping clerk according to the quantities wanted for each order. Concerns which are using this idea claim that it takes less time for the shipper to separate goods than it does for the order department to make split orders for each individual.

265

Fig. 17. Forms for Split-Order Schemes

266In planning the clerical work in order billing and shipping methods, the volume of business being handled must be taken into consideration. A plan which is necessary with a large business would be considered as red tape in a smaller one. The larger a business grows, the more it is possible to "specialize" the work.

In a very small business, one man could fill all the orders and make out all of the bills. In a little larger business it would be necessary to devote one person's entire time to filling orders, another's to making out the bills. In a business twice as large as the one just mentioned, it would be necessary for one person to devote his entire time to filling the orders from one floor only. In an exceptionally large business, it might be necessary for one person to devote his entire time to filling orders for some particular class of goods on one floor. These examples are given to illustrate the meaning of the word specializing.

Simple Order Form. The majority of firms transcribe their customers' orders onto their own order forms from letters or requisitions. The simplest form of order is one containing an original for use of the warehouse or factory, a duplicate to be mailed to the customer as an acknowledgment of the order, and a third copy which is held in the office as a record of unfilled orders. The requisition form illustrated in Fig. 18 conveys the idea.

The practice of sending an exact copy of the order to the customer eliminates the necessity of acknowledging the order by letter, and gives the customer an opportunity of checking over the order as entered. It is customary to print on acknowledgment of order forms the sentence: This is an exact copy of the order as entered—if any errors are noted kindly advise us at once. One firm in Buffalo saved $300.00 the first week they installed this scheme, through the detection of an error by the customer.

A YACHT STORAGE BASIN AT THE SHIPBUILDING PLANT OF THE GAS ENGINE & POWER CO. AND CHARLES L. SEABURY & CO., CONSOLIDATED.

267

Fig. 18. Simple Requisition Forms for Order Handling. Remington Typewriter Co.

268It is imperative that before a remedy or short-cut methods can be prescribed, it is necessary to thoroughly diagnose all of the conditions incident to the business. It should also be remembered that clerks and even department heads will see all of the imaginary difficulties of a new idea and overlook all of the benefits to be derived therefrom. It should be further remembered that if a new method shortens nine-tenths of any particular class of work and slightly increases one-tenth, the party involved will many times fail to see the net advantages accruing through the introduction of the new idea. If objections are raised to a suggested short-cut method it is always well to ascertain whether the objections apply to a majority of the work or a portion of it only. Most people in clerical positions rather resent new ideas, and seem to take a pleasure in trying to find some reason why a new idea will not succeed. This is one phase of human nature which requires the utmost tact and diplomacy to handle successfully. In advancing or suggesting new methods, it should be assumed as far as possible, that the idea has been suggested by the person to whom one is talking, for the reason that most people are willing to "father" their own ideas.

Simple Order Form with Copy for Shipping Department. The second short cut which was instituted in connection with order forms was the addition of a sheet on which was manifolded a copy of the order for the shipping department.

The idea is to give the shipper information in advance, in order that he may prepare his bills of lading and plan his work for his teams, order cars in advance from the railroad, call up express companies, and such other work as might be necessary to the proper shipment and delivery of the goods manufactured and sold, and to file the copy as his permanent record, in some cases.

Some firms desire to prevent the shipper from knowing the prices at which their goods are sold. This is accomplished by using for the shipping department a short sheet of paper which reaches from the left edge of the order-blank to the price column only. Another method is to use a narrow sheet of carbon paper with a full-size sheet of paper. This plan is not as satisfactory as the former one, as the carbon paper sometimes slips to the right and allows the prices to manifold.

Acknowledgment of Order to Salesman. In some lines of business, it is desirable to add an additional sheet which is termed acknowledgment of order to salesman. This plan enables the salesman to know that the order has been received and properly entered for execution (in manufacturing lines it is necessary to transcribe orders on order forms which contain too many copies for a salesman to manifold by pencil), and gives him the opportunity of checking the 269order as entered. It should be remembered that in some lines of business there is such an enormous amount of detailed information in connection with an order that neither the customer nor a salesman would check over an exact copy of the order as entered. This should always be taken into consideration when considering the addition of this sheet.

STATIONERY

The various styles of loose-leaf sheets and binders should be fully understood in order to appreciate their importance in order and billing work.

Loose-Leaf Sheets. The first loose-leaf sheets were punched with closed holes, as shown in the illustration of Kilby Mfg. Company forms in Fig. 18. The trouble with the closed-hole punching is that, when placed over the metal posts of the binder, it is impossible to remove a sheet in the center of the binder without removing all of the sheets immediately above the one desired.

To obviate this difficulty, the slotted hole was devised. This is illustrated in the forms of the Commercial Sash & Door Company, in Fig. 19. The slot from the edge of the paper to the punched hole permits the paper to be placed over the posts of the binder between any two sheets. Holes are punched in both the closed and slotted styles in various sizes, ranging generally from a ¼ to 5/16 of an inch in diameter. In late years, manufacturers have introduced punched holes of different shapes from that of a circle.

For permanent records where the sheets are filed serially according to page number, order number, etc., the closed-hole loose-leaf sheet is perfectly satisfactory. For records which are to be removed from any given part of the binder and reinserted in another part, the slotted-hole loose-leaf sheet is the most satisfactory style to use.

Binders. Binders are generally made of two covers and a set of posts, which ordinarily are attached to one of the covers. The other cover is movable in order to accommodate the increased thickness of the binder as loose-leaf sheets are added. Great strides have been made in the manufacture of improved binders. There are so many styles of posts and other ingenious arrangements, where the two covers are held together and closed or opened by the use of a key, that only reference to catalogs of manufacturers will supply detailed information.

270

Fig. 19. Two Styles of Punching for Loose-Leaf Sheets. Remington Typewriter Co.

271In buying binders and loose-leaf sheets, it is well to buy both of the same firm. Heretofore, trouble has been experienced where the punched holes of the loose-leaf sheets were probably 1/64 inch further apart or closer together than the metal posts in the binder in which they were to be used. The manufacturer of the binders will always claim that the sheets were punched incorrectly by the printer, and vice versâ.

It is pretty generally understood now that all punched holes should be placed with the center of the hole ½ in. from the edge of the paper. This allows enough margin to permit of the paper being held firmly over the posts. In all cases where the holes are punched too near the edge of the paper, the narrow margin between the edge of the paper and the hole becomes torn very quickly.

Stationery Printed for Typewritten Work. Very few people recognize the great value of properly designed stationery for typewritten work. The law of usage and custom is so strong that invariably invoices and order forms are printed the same as if they were to be hand-written. The headings are printed with the first letter of each word lined up vertically. This plan causes great waste of time on the part of an operator.

All billing and order work should be done on machines equipped either with a column stop or a decimal tabulator. A column stop is a device on a writing machine which automatically stops the carriage at any one of several predetermined points. A decimal tabulator is a device on a writing machine which automatically stops the carriage at the units, tens, hundreds, etc. place in any predetermined column.

It should also be understood that all typewriters and billing machines are equipped with marginal stops. These stops are adjustable, and can be arranged on either side of the machine in such a manner that the carriage will always stop at any given point at either edge of the paper.

It is vitally important that either a column stop or a decimal tabulator should be used in connection with marginal stops on writing machines, and these three points should be taken into consideration when designing stationery for use with a machine. The following illustrations show poorly designed and correct invoice headings.

272
J. B. WILLIAMS & BRO.
NASSAU, N. Y.
 
NAME SALESMAN
SHIPPING ADDRESS ORDER NUMBER
P. O. ADDRESS REQUISITION NUMBER
VIA  

This blank form has purposely been shown in order to contrast it with an invoice printed in the same way with the headings properly filled in.

J. B. WILLIAMS & BRO.
NASSAU, N. Y.
 
NAME, Geo. Brown & Co. SALESMAN, Jenkins
SHIPPING ADDRESS, Flat Rock, W. Va. ORDER NUMBER 2246
P. O. ADDRESS, Wenonah, W. Va. REQUISITION NUMBER A341
VIA N. & W. R. R. Co. OUR ORDER NUMBER 9422

Contrast this heading with that of an invoice which has the last letters of each line lined up vertically. This makes it possible for the operator of the billing machine to draw the carriage to the extreme right, as the first letter to be written in every line of the heading starts at the same point.

NAME Geo. Brown & Co. SALESMAN Jenkins
SHIPPING ADDRESS Flat Rock, W. Va. ORDER NUMBER 2246
P. O. ADDRESS Wenonah, W. Va. REQUISITION NUMBER A341
VIA N. & W. R. R. Co. OUR ORDER NUMBER 9422

The latter form does not have as good appearance before being typewritten as afterwards. However the change is made for the sake of utility and speed. In the first form it is necessary for the operator to position the carriage at a different starting point for each line, whereas in the last illustration it can be readily seen that all the operator has to do is to draw the carriage to the right to the marginal stop, and write without any loss of time.

At one time a speed contest between pen billers and machine billers was held on one of the large railroads of this country, and permission was given the machine people to change the position of the headings of the freight bills. The salesman in charge of the test studied to eliminate certain wasted movements of the typewriter carriage. He succeeded in arranging the printed matter on the bill in a manner which permitted of three starting points in the heading and body of the bill. By pressing his tabulator stop after writing 273a name or figure, the machine would immediately jump to the next printing point on the line. This arrangement greatly facilitated the work, and enabled him to prove the superiority of machine over pen work. If he had endeavored to use the old stationery with its irregular headings, he would have made a failure of the test.

Designing Stationery. In designing invoices, order forms, and statistical forms, it should be always borne in mind that the ordinary typewriter or billing machine spaces ten letters to the inch, sometimes twelve spaces to the inch with elite type, and sometimes eight spaces to the inch with large Roman type. Therefore, all vertical lines separating various columns of the form should be ruled in multiples of tenths, twelfths, or eighths of inches, according to the spacing (escapement) of the machine to be used. The different styles of type are shown in Fig. 20.

In estimating the distance between lines, it should be borne in mind that all typewriters and billing machines are arranged for spacing one line, two lines, and three lines. By adjusting the spacing device, the paper can be advanced the width of one, two, or three lines. All headings on the invoice should be arranged so that the next writing point below, on the invoice or order, will be one, two, or three spaces, and the beginning of the body of the bill should be arranged for in the same manner. This prevents any waste of time, and eliminates the necessity of throwing off the ratchet spacing device of the machine and turning the carriage by hand.

The first printing point on an order or billing form should be placed in such a manner that the marginal stop of the typewriter carriage, instead of a tabulator stop, will be available for use. The second writing point on the form should be the first column stop (the column finder on the billing machine is the device which automatically stops the carriage at certain given points). The third writing point on the line should be the second column stop, or decimal tabulator stop, according to the one which is on the machine.

In Fig. 21 is shown an illustration showing the top sheets of an order form designed to facilitate the work of the billing machine. In addition to having all of the printed headings aligned vertically on the last letter of each word, each line is either one space or two spaces of the billing machine platen (rubber roll). This eliminates any waste of time in spacing the order form through the machine.

274

Fig. 20. Styles of Typewriter and Billing Machine Type

275The last sheet of the form of the McCaskey Register Co. is cardboard, with the numbers 1 to 31 printed along the top. A movable metal "spud," or tip, is used to show the due dates of each invoice, and to enable the collection clerks to quickly find the desired copies of charges for the purpose of sending out statements from three to five days ahead of due dates.

Styles of Type. The size and style of type is a very important factor in all classes of work where legible manifolding results are wanted. There are several classes of type used in connection with billing machines. Different companies use different names in describing them. The four sizes of type used are as follows:

Elite. This style has come into general use in connection with correspondence. It gives a dignified style to a letter. It is the hardest type to keep clean—the most destructive to the rubber roll and typewriter ribbon of any type made. It also manifolds very poorly where a number of copies are used, as the type is so small that the sixth or seventh copy, and many times the third and fourth, are so blurred that it is impossible to tell an e from an a or an o.

This style of type is sometimes used for making up tabulated statements where it is desired to crowd a large number of figures to the inch.

Pica. This is the most generally used type of any. It manifolds quite well up to six and seven copies. It is possible to write only ten figures of this size to the inch.

Medium Roman. This is the next larger size type than the pica and, on account of it being larger, it gives better manifolding results. It also writes ten letters to an inch.

Large Roman. This is the size type which is used by railroad and steamship companies for typewriting their way-bills. It is possible to write only eight letters to an inch.

276

Fig. 21. Forms Showing Properly Designed Stationery

277Gothic Type. The term Gothic indicates the style, and not the size of the type. If the small points at the top and bottom of the Roman type were removed (these points are called serifs) the effect would be that of Gothic type. A very pleasing combination on a billing machine is two different sizes of Gothic type, the larger size to be used for capital letters, the smaller size for the small (or lower case) letters. Recent practice has demonstrated the value of using capital Gothic letters of one size, as it increases the legibility of an order or an invoice.

In manifolding, numerals should always be of the "open" kind, that is, 1 2 3 4 5 6 7 8 9 0, and not 1 2 3 4 5 6 7 8 9 0, as the former are much the more legible.

Carbon Paper. There is no article which is so generally misused in the commercial world and which is so little understood as carbon paper. In order that the correct usage may be clearly understood a brief description of its manufacture is given.

The chief ingredients of carbon paper are oil, wax, paper, and color. Oils and waxes are used to give wearing surface, elasticity, and body to the color mixture. Tissue paper—generally of imported quality—with a fine, strong fiber is used. The quality must be first class in order to insure absence of holes and other imperfections in the sheets. Generally the sheets are cut 20 x 30 inches. A ream is regarded as containing 500 sheets. Three weights of paper are used, 4lb., 7lb., 10lb., respectively, meaning that 500 sheets of the above size of paper will weigh the number of pounds named, according to the thickness of the paper.

Color. The only really indelible color is black; that is because carbon is the basis of the color. The colors which are used are powders which have been ground as fine as possible. They are mixed in proper proportions with oils and waxes. Formerly the mixture was applied by hand, but great strides have been made in machinery for automatically applying the color evenly to the paper. It is important that the color or pigment be applied evenly to the paper and that it penetrates the fiber. Unless the paper retains the pigment, the carbon paper will not wear properly. The longer the color adheres to the paper, the longer it can be used.

Finish. The finish of carbon paper is the factor which is so little understood by the public. Carbon papers are finished with soft, medium, and hard finishes. The first will hardly rub off on the hand under pressure, the next will rub some, and the soft finish will smudge if pressed against the hand. Each finish is intended for 278a definite use, which will be explained later. The manifolding power of carbon paper depends absolutely on the typewriter itself, the hardness of the rubber roll, the touch of the operator, and the weight of paper, and lastly, the finish of coating on the paper. Two operators on the same typewriter can secure totally different results because one will have light, and the other heavy, touch. The regular rubber rolls which are furnished with typewriters are medium hard—in six months or a year they gradually grow harder, eventually becoming as hard as slate. If a typewriter is to be used for regular work as well as heavy manifolding, it should have two different rolls, one for each kind of work. There is no reason for using a medium hard rubber roll on the machine, getting poor results, and then blaming the carbon paper. Use a hard rubber roll on the machine and there will be no difficulty. Some makes of machines have interchangeable rolls (known as platens) which are very useful. It is the work of a minute only, to remove one and place the other on the machine.

Four-Pound Paper. This class of carbon paper has a heavy, sensitive coating, and is intended for heavy manifolding—for making from five to twenty copies. Soft-finish carbon papers are always used where heavy manifolding is to be done. The finish of the paper which is being written upon is also a factor. Papers with a hard finish—that is, a shiny surface—do not allow the color of the carbon paper to take hold, and yet a paper with the soft finish will allow the color to spread, and make a poor copy. This class of paper is also used for making a few copies on very light-stroke machines like the Hammond.

Seven-Pound Paper. This weight of paper is adapted for making from one to five copies. Being heavier than the four-pound, it will wear longer. If coated heavily it will give more impressions than if lightly coated, but the impressions will not be as clear and clean.

Ten-Pound Paper. This weight of paper is intended for use where one or two copies are wanted. Its weight enables it to stand the hard usage to which it is put. On one or two copies, the additional weight or thickness of the carbon paper does not affect the imprint. This class of paper is used with billing machines of all kinds.

279Full Carbon Papers. This is a paper which is coated on both sides for making a multiplicity of copies on tissue. The pieces of carbon paper are placed between every other piece of tissue paper and manifold on the top of one sheet and the bottom of the next. This carbon paper is used to reduce the bulk of paper in the typewriter—one-half as much carbon paper being required. It is sometimes called double carbon paper, and is mostly used by railroads in making up way bills on yellow (dandelion grade) tissue paper.

Copy Carbon Papers. This paper is for use where it is necessary or desirable to make a carbon copy from which to make a letter-press copy. Hektograph carbons are for making carbon copies to be used in a hektograph.

Pencil Carbons. This class of carbon paper is made in the heavy grades of paper from seven-pound to twenty-pound and is made full carbon in the seven-pound weight.

Pen Carbon. This class of carbon paper is made in the seven-pound and ten-pound weights.

Troubles and Remedies. Carbon papers made in summer have different treatment in the matter of color mixture than those made in winter. Users should always remember that carbon paper which has lain unused all year has gradually dried out and depreciated in efficiency. The fresher a carbon paper the better—therefore it is not economy to buy too large a supply if it is liable to stand for more than six months. Never store carbon paper near heat, nor in the direct rays of the sun.

The one great difficulty experienced with carbon paper is the streaked effect called "treeing." This is caused by the carbon paper being inserted unevenly between the sheets of paper used with it. Once wrinkled, it remains so, and gives the streaked result as long as it lasts. To guard against this trouble, the operator should watch that the carbon paper is not wrinkled when inserting it between the sheets of paper, and should press the release lever on the typewriter to release the paper-feed rolls on the machine, after the paper is inserted in it, so that the unequal tension of the paper and carbon paper may adjust itself.

Durability of Color. Black paper made of carbon pigment is indelible and most durable. Blue or purple papers are next in the order of durability of color, and are made of aniline dyes. Green 280next, and red next. The fact is that red and green carbon papers should not be used for permanent records, as they will fade quickly.

Wearing Quality of Paper. Many times a typewriter will have a rubber roll (platen) which has become pitted and worn from age and the use of periods, commas, hyphens, and ditto marks. This is very destructive to carbon paper. New rubber rolls should be placed on the machine. It is not economy to use the cheap variety which can be purchased for 75 cents and which is nothing more than rubber hose drawn over a wooden core. The latter is not cylindrical and will give trouble. The type will print unevenly and cause bad alignment, for which the machine will be blamed.

Blinds. Blind is the name given to a sheet of paper used in connection with manifold work for preventing all of the information on the top sheets from being manifolded on certain of the sheets underneath.

For instance, in describing the scheme for providing the packing department with a description of the goods to be shipped, but with the quantity column blank, it will be remembered how a strip of paper of proper size wide enough to cover the quantity column was placed over the left side of the invoice from top to bottom. Therefore all quantities, instead of manifolding onto the packer's sheet, manifolded onto the strip of paper known as the blind.

A blind may be of any given shape, and cut away at the top, side, or bottom; or, in some cases, irregular-shaped cuts are made in the middle of the sheet or near the edges. The cuts are made in order to allow certain information to be manifolded on the next sheet under the blind. The balance of the information on the top sheet is manifolded onto the blind, which is thrown away. It is reasoned that it is cheaper to use a sheet of paper for this purpose than it is to stop and make a separate sheet with part of the information only, typewritten thereon.

HOW TO HANDLE ORDERS AND BILLS ON BILLING MACHINES

Loose-Leaf Sheets with Invoices in Blanket Form. In some lines of business it is possible to use invoices of equal size. Some firms therefore have the invoices and sales sheets of equal size. The 281top sheet is perforated horizontally at equal distances, which permits the invoices to be torn apart so that one blanket of form invoices may be separated into three or four separate invoices. This plan can be used where the work is done on an ordinary letter-writing machine. In preparing the papers for billing, a sheet of carbon equal in size to the sales sheet is used. A heavy-weight carbon (10lb.) with hard finish is the best kind of carbon to use for this work. If an extra sales sheet is needed for any purpose, a duplicate sheet of paper, preferably of another color, can be used with another sheet of carbon interleaved between the two sales sheets. This method is wasteful of space as far as the sales sheet is concerned. If each invoice were loose and placed in the machine in such a manner that the first written line on the invoice would be two or three spaces only below the last item of the previous invoice manifolded on the sales sheet, generally one more invoice of average size could be manifolded onto the sales sheet.

Loose-Leaf Sales Sheet with Separate Invoices. This combination is made possible by the billing machine, the flat-bed and the cylinder style. Cylinder billing machines are equipped with special carriages having special feed rolls which hold the sales sheet until it is fed entirely through the machine. Cylinder machines also have an independent feed roll which can be released by a special lever. This permits an invoice to be inserted in the machine, and then clamped into position by the intermediate feed roll and fed through the machine with the sales sheet until the invoice is completed. The intermediate feed roll is then released, and the invoice removed without disturbing the sales sheet. The next invoice is then placed in position, and the same operation is repeated. This allows one invoice to be manifolded very nearly under the previous invoice. Some firms having invoices of one or two items only, which permits of from seven to nine invoices being manifolded on each page, have the invoices made up in blanket form; that is, seven or eight invoices to a strip. After each invoice is manifolded they advance the next invoice into position and then tear the invoices apart as previously described.

Carbon Paper Cut for this Class of Work. Some operators doing condensed billing work prefer to use carbon paper the same size as the invoice, and to remove the carbon paper each time an invoice 282is completed. This necessitates a great deal of handling of carbon paper. It is preferable to use a large sheet of carbon paper the same size as the sales sheet, feeding it through the billing machine with the sales sheets. This eliminates the necessity of picking up a piece of carbon paper each time an invoice is placed in the machine. With the former method, if one had four invoices to one page of a sales sheet, it required one to pick up the same piece of carbon paper four times, or once with each invoice. The latter plan necessitates handling the carbon paper once only, when the sales sheet is placed in the machine. The operator positions the second or third invoice on a sales sheet, in order to avoid writing over the previous invoice, by spacing the carriage three times after an invoice is completed.

Using the Sheets Serially. All sales sheets should be serially numbered, in order that when placed in a binder the loss of any sheet may be detected by a missing number. Some firms prefer to use one side of a sales sheet only. In this case, a sales binder holding 375 sheets would have 375 pages. Where the sheets are numbered on both sides, the sales binder would have 750 pages. If the appearance of a page is marred by an invoice being spoiled, that sheet is not thrown away, and the fact that it is not is an incentive for the operator to do good work.

Handling Credit Memoranda. Some firms prefer to handle their credit memoranda on different-colored paper (generally pink) for both invoices and the large sheets which correspond to sales sheets. All of the rules which govern the making of invoices and loose-leaf sales sheets apply to the execution of credit memoranda.

General Remarks Regarding Billing Machines. The flat-bed billing machine enlarged somewhat upon the idea of using special characters for certain abbreviations peculiar to various lines of trade. For instance, in the shoe business, the following abbreviations are some of those used:

WOM means Women's
CHI " Child's
BOYS' " Boys'
BAL " Balmorals
BLU " Bluchers
PR " Pair
PRS " Pairs
DOZ " Dozens

283The cylinder machines have adopted the same plan. In the cylinder machines there are two distinct classes—those having two type to a type-bar, such as the Remington and the Underwood, and those having one type to a type-bar, with double the number of bars, such as the Smith-Premier. Both classes of machines can use special characters, but the machines having one type only to a bar have a preference in that they have more room in which to place special characters.

There is considerable saving in the use of special characters, as evidenced by the following example:

OCT 14 09.

This necessitates nine strokes where each letter is written separately. Had this been written by three special characters, it would have necessitated five strokes only. The special characters would be used as follows: OCT.-space-14-space-09.

To the uninitiated, it would seem that a special character of three letters, such as the abbreviation OCT., would occupy three spaces on the machine, and consequently would overlap on the word at the right. This is obviated by placing the type on the type-bar in such a manner that the letter T of the abbreviation is in the printing point of the paper. The following illustration will show how the type are placed or aligned in order to secure the desired results:

OCT 14 09

As the month always precedes the next word, the abbreviation OCT is aligned so that the two first letters are to the left of the printing point. In case a machine were equipped with numbers for all the days of the month, the character 14 would be aligned to print either side of the printing point. As the abbreviation 09 would always follow and never precede, it would be aligned with the 0 in the printing point, with the 9 printing to the right of it. It is very important to have special characters properly aligned so that the abbreviations which always precede are aligned to print on the last letter, and the abbreviations which follow are aligned to print on the first letter.

It is impossible to print abbreviations in solid matter such as a letter. They are only to be used in connection with dates of invoices 284or orders, in connection with names of firms. For instance, the abbreviation Messrs., at the beginning of a firm name where such a term is desired, or the abbreviation Co. at the end of a firm name or the abbreviations Pr., Doz., Gro., and similar abbreviations, come in the body of a bill and, preferably, in the first column after the quantity.

It should be remembered that when the rubber platen of a billing machine becomes worn and cut with holes incident to the use of periods, commas, hyphens, etc., the special character type will sometimes print heavy at the top and light at the bottom of the letter, or vice versâ. This is remedied to some extent by placing a new rubber roll on a cylinder billing machine, or a new rubber covering on a flat-bed billing machine.

Special characters are used to a better advantage on the under-stroke (or blind machine) than on the visible machine. In the latter, the type-bars are all grouped in less than a half circle, which necessarily crowds the type-bars a little closer together, and therefore does not permit of special characters of a large size.

Tabulators on Billing Machines. It is absolutely essential that every billing machine be furnished with either a single-stop (known as a column-stop) tabulator or a decimal tabulator, preferably the latter. A single-stop tabulator is used as follows:

On the billing machine frame rests a bar on which metal stops or pegs are placed at predetermined intervals. By pressing the column stop, the carriage holding the paper is released, and jumps automatically to the first stop. After the information is written, the stop is again pressed, and the machine jumps automatically to the next printing point. The following example shows the use of the column stop:

John Jones Marion, Ind. XXV
A. B. Smith Washington, D. C. XXX
G. Barnes Seattle, Wash. XXX

The following example shows the use of the decimal tabulator:

10.50
.50
150.25
15560.65

With the decimal tabulator, the operator would press the tens key, which automatically places the carriage in a position to begin 285writing the amount 10.50. If the column stop were used for this purpose, it would have stopped the machine at the period point, and necessitated the operator pushing the carriage two points to the right in order to begin printing two points to the left of the decimal points. Some operators place the column stop so that the machine always stops at the tens point, and if an amount of 1.00 or less is to be written, they use the space key. This is quicker than to always stop at the decimal point and then position the carriage properly by hand. However, where any tabulated work involving figures which vary greatly is to be done, it is decided economy to use a decimal tabulator. Most operators do not see the advantage of using tabulators, and in many instances will continue to waste time spacing the machine with the space bar. If they would avail themselves of the tabulator device they would jump from one part of the line to the next desired point instantaneously. It should be remembered that billing work is a constant repetition of certain manual movements. If one movement in ten can be eliminated, it is equivalent to saving one hour in ten. To show the great advantage of, and it might be said, necessity for, time saving and short cuts in large establishments, a device used by Butler Bros., a large mail-order house with warehouses in several of the large cities, is an excellent illustration. This particular scheme is used in Jersey City, N. J. It consists of two rows of billing machine operators (sixty-five in number) placed in parallel positions with an endless belt running between them, and two checking clerks at the end of the row. As fast as the operators transcribe the orders onto the order forms, the original and typewritten order (with departmental copies) are placed on the belt and carried automatically to the checker's desk.

The rubber belt passes over a pulley at the edge of the checker's desk, which allows the orders to fall from the belt to the desk. The belt returns to the end of the line, where it revolves around another pulley. The power is furnished by a small electric motor.

Arrangement of Billing Machines in Large Business Houses. In large businesses in the wholesale dry goods, wholesale notions, and kindred lines, special arrangement enables a few billing machines to accomplish a large amount of billing. In these classes of business, it is the custom to call the lot number, class of goods, and the number of yards to the bill-clerk, who in turn enters it on the bill and duplicate. 286The system used will be described elsewhere. Here it is desired to touch upon the movable-platform idea only. The operator is seated on an elevated platform on which is placed the billing machine and the chair. This platform has rollers, and can be moved in the aisle between two rows of counters on which the goods to be shipped are placed. As soon as the callers call off the lot numbers, description, and quantities of one shipment, the billing machine operator moves the platform to the next lot of goods, which enables him to hear the caller clearly wherever the caller may be. If the bill clerk were permanently located in one portion of the room, he would be liable to make errors through misunderstanding the caller. A scheme which is largely used in those classes of business which demand the "call off system" or, as they term it, "billing from call" is to call off the word sixty-five as if it were sixity-five, and the word fifty-five as if it were fifity-five. This prevents confusion between these amounts which sound so much alike. Some firms for sixty-five use the term sticky-five.

Use of Computing Machines in Connection with Billing. Many firms use computing machines such as the comptometer for proving the extensions on invoices. With a machine of this character, it is possible to figure all of the extensions. The machine at the same time automatically adds the totals, and, if there are discounts to be taken off the bill, this operation can be performed without clearing the machine. For instance, in the following example:

12 yards lace   50 $6.00  
15 yards ruching   10 1.50  
24 doz. hdchfs.   12.00 288.00  
       
      $295.5  
  25%     221.63

By clearing the machine, is meant pulling the handle which returns all of the wheels to 0 for the beginning of a new computation. Without desiring to enter into the mechanical merits of adding machines, either listing or non-listing machines, it is important to touch upon the various arguments used in favor of billing machines with adding attachments and without them.

The flat-bed machines were the first to use the combined machines. The plan in use was to place two recording registers on the billing machine and prove the total of each bill separately with one register, and accumulate the totals of all the bills for the day on the other 287register. Certain firms used extra recording registers for recording the totals of extra columns on the sales sheets in which they analyzed the sales according to classes of goods or some other classification. Some firms did not add the bills when making the extensions of the prices and quantities, but left the additions for the adding machine. The only draw-back to this plan was that if the operator copied a wrong total from the register dial it caused trouble. This fault, if fault it may be called, as it is not the fault of the machine, but of the operator, has been corrected by placing a subtracting device on the late models of combined billing and adding machines, whereby the subtracting device is thrown into action when the total of the bill is being written. If the correct amount of the bill is written on the invoice, the dial figures all turn to ciphers, which indicates that the amount has been correctly transcribed by the operator. Other improvements will likely follow in the many machines which are being placed upon the market. See Fig. 29 on Page 67.

Some firms prefer to do all the billing as one operation, and use a separate or computing machine, as the case may be, for proving the additions at the end of the day. The reason is that by having two separate machines they can be used by different people during the day for different work.

If computing machines are needed for adding, multiplying, and taking off discounts, the non-listing machines are recommended, as they are key-driven. If adding machines are needed when printed lists are wanted of all additions, then listing machines are recommended. The general public has recognized that each class of machine has its separate use. Some firms check the totals of listing machines with non-listing machines, in order to save time and paper. Non-listing machines are used for taking a record of rolls and yards of cloth during inventory time, and later are used to multiply the extensions. Some dry goods firms hire expert operators at a dollar an hour to do this class of work, as it can be done in one-fifth the time that it would otherwise take. For instance, an example in multiplication, such as 432 × 235, would take approximately ten seconds to write down, multiply, and set down the figures. With a multiplying machine mentioned above, it can be done in two seconds.

With listing adding machines, equally valuable results can be obtained. In certain classes of work, such as collection letters in 288banks where there are rows of figures representing the various checks, and typewritten information, such as description of endorsements, it is much faster to place the sheets in the adding machine and list the amounts thereon and automatically print the total with the adding machine. This avoids the trouble due to operators printing wrong totals on the billing machine. The typewritten information is then put in on the typewriter or billing machine. There is this to be said, however, if an operator prints a wrong amount on a listing adding machine, the answer will be incorrect, but the machine will print a correct total of the figures printed by the machine. A listing machine can be equipped with a wide carriage and used for printing lists of figures just the same as a typewriter. Time should never be wasted printing a statement covering rows of tabulated figures on any typewriter, and then taking the statement to an adding machine and adding the columns to prove them, if it can possibly be arranged to make up the entire statement on the listing machine. Listing machines are now prepared to manifold at least two extra copies, and are equipped with column tabulators.

For adding a number of columns, with or without a grand total column at either the right or left side of the book or sheet, and where the items are written one at a time in different columns, the combined typewriter and adding machine is recommended. One such is shown in Fig. 22.

COLORED SHEETS

The "colored sheet system" indicated below makes it unnecessary to refer to the written matter for distribution. A glance indicates the department or service for which every slip is intended. The distribution may be as follows:

One copy may also be filed geographically for comparison of results. This furnishes a complete record and makes reference easy.[6]

6.  As a general rule, the "order acknowledgment" has been handled separately, although it is possible to include it in the one writing.

289This summary illustrates the use of the color scheme, and gives a brief hint of the plan usually followed in filing order sheets for various departments. It should be remembered that the best billing and order plan in the world can be made the most abject failure, if proper attention is not given to the proper filing of sheets.

Fig. 22. Combined Typewriter and Adding Machine. Elliott-Fisher Co.

For example, if clerks in looking for a certain order could always give the order number, but not the name of the customer, it would be wrong to file the orders alphabetically; in such cases, file the orders numerically. Always file papers according to the information which the clerk or executive will have at hand when looking up the same. Sometimes, papers will be just as easily found when filed numerically as alphabetically.

Reference Information. One very important feature to remember in designing forms is to place all reference information on the right-hand side of the sheet. In leafing loose sheets held in binders, it will be easy to find the desired sheet if this plan is followed; but, if the reference numbers are placed on the left side of the sheet, it will be necessary to open the binder relatively wide to see each number.

In the illustration, Fig. 23, it will be noted that the order number is properly placed, and that the printed headings are aligned 290horizontally at the back, which permits all typewritten matter to be started evenly. The value of this point was touched upon in a previous chapter, as to saving of time in the execution of the work. In this particular form, however, there is typewritten matter to the left of the headings, such as account of, ship to, etc. The marginal stop on the billing machine should be set for the first typewritten matter, and tabulator stops used for all matter to the right on each line.

COMPOUND FORMS

One of the most effective means of short-cutting work, where the nature of the business will permit, is through the use of compound forms. These forms derived their name from the combination of order and billing work on one set of sheets and accomplish in one operation, sometimes in two, all the clerical work incident to the receipt, registering, acknowledgment, billing, charging, and shipping of an order.

It can be readily seen that if a firm can fill its orders completely, or almost so, that there is no use to wait until the order is filled before billing it. It is a great deal easier to place another sheet along with the order forms and use it for an invoice. It is generally placed as the top sheet of the set, and therefore it is the original.

Goods Shipped for Entire Order. If the nature of the business is such that the firm can always fill its orders completely, it is perfectly safe to enter prices, make the extensions, and complete the invoice, with the possible exception of the date when the goods are finally shipped, if they cannot be sent out the same day. In such cases, a printed heading is provided on the invoice, opposite which the shipping date is typewritten. This then becomes the date of invoice.

291

Fig. 23. The Colored-Sheet System. A Different-colored Sheet is Used for Each Department
Underwood Typewriter Co.

Goods Almost Completely Shipped. If it is possible that one, two, or three items cannot be shipped at all, or in part only, it is the custom to hold the invoice (and copy, or copies, when there are any) in the office, arranged alphabetically according to customers, pending receipt of information from the shipping department as to quantities, weights, etc., of goods shipped. This invoice is an exact typewritten duplicate of the balance of the order forms, and has the heading for quantities to be shipped and, usually, prices for each article. Neither the extensions of the items nor the footing of the bill have been made. Generally, a copy of the order showing the quantities, weights, or measures marked thereon is handed to the office. The copy of the invoice is then placed in the machine, and the prices, extensions, and footings made to correspond with the items which have been shipped. The question arises in regard to the items which have not been shipped. Some firms print on the bottom of each invoice the sentence: All items which are not priced nor extended have been "back-ordered" and will be shipped later. Other firms typewrite an X in the price column, 292or number the items which have not been shipped. They then make a written explanation on the bottom of the invoice regarding the date at which the balance of the goods will be shipped. In some lines of business this plan tells the customer not only what he ordered, but what has been shipped and when the balance will be shipped. The memo on the bottom of the invoice also saves the writing of letters to customers.

In other lines of business, this plan would be absolutely unfit—for the reason that certain firms do not wish to call the customer's attention to the items which have been omitted.

Compound forms generally have two columns at the left—one for the goods ordered, the other for the goods shipped. If this were not provided, it would be necessary to erase quantities in all instances where a different quantity were shipped from the quantity ordered.

Fig. 24 is a good illustration of forms for a line of business which always has the goods in stock. The various brands of goods are printed in the body of the invoice. All that is necessary is to write the quantities, prices, extensions, and footings. Four copies are manifolded—invoice, warehouse order, house record, and collection record.

RETAIL DRY GOODS BILLING

The retail dry goods houses and department stores use a form of billing which is different from any other, in that the bills are rendered to the customer once a month only. There are other lines of business which render their bills monthly, and which use the same style of billing.

A folded form is used, the top sheet when completed at the end of the month is mailed to the customer. The second or duplicate is retained for the record of purchases.

When a customer makes a purchase, the saleslady makes the charge in her sales book. One copy goes with the goods to the wrapping desk, the other goes to the cashier's desk. The wrapper cannot handle a package without a duplicate sales slip. The packer removes from his duplicate slip a stub bearing the same number as the slip. This is to prevent goods being removed from the house without proper authority. The cashier retains the slip if cash has been paid, but passes the slip on to the auditing department, if the slip is marked by the saleslady charge.

293

Fig. 24. Compound Forms, Showing Invoice and Office Records
Remington Typewriter Co.

294In large stores like John Wanamaker's, the customers are given by the credit man a brass check with their number marked thereon. This shows each clerk with whom they deal that they are entitled to credit, without having them identified each time they make a purchase. In smaller cities, the clerks become familiar with all the charge customers, and any plan of this character is not needed.

The sales slips are all numbered from 1 to 50, and the auditing department checks back each day all the slips of the different sales-people to see if all the slips have been accounted for. Some stores have a chart on the cashier's desk with the clerk's number at the top of each column, and the check numbers listed serially in each column, as shown in Table I.

Table I
CHART FOR CHECKING RETAIL SALES SLIPS
1 2 3 4 5 6 7 8 9 10 11 12 13 14 15
1 1 1 1 1 1 1 1 1 1 1 1 1 1 1
2 2 2 2 2 2 2 2 2 2 2 2 2 2 2
3 3 3 3 3 3 3 3 3 3 3 3 3 3 3
4 4 4 4 4 4 4 4 4 4 4 4 4 4 4
5 5 5 5 5 5 5 5 5 5 5 5 5 5 5
6 6 6 6 6 6 6 6 6 6 6 6 6 6 6
7 7 7 7 7 7 7 7 7 7 7 7 7 7 7
8 8 8 8 8 8 8 8 8 8 8 8 8 8 8
9 9 9 9 9 9 9 9 9 9 9 9 9 9 9
10 10 10 10 10 10 10 10 10 10 10 10 10 10 10

As fast as the checks are received at the cashier's desk they are checked. If one of the clerks should sell goods to a friend, and send one slip to the packer, but destroy the cashier's copy, the fraud would be detected, as the next slip which would be sent in would show by the number that the previous one was missing. The matter could be investigated immediately. The auditing departments of different stores handle the detail of the work in various ways—which, however, are about the same. Some stores, after they prove that there are no slips missing by checking the slips by the serial numbers, add them up on adding machines. As some stores do not care for a list of the slips, they use a non-listing machine, such as the comptometer. Other stores add the sales of each clerk separately, and add the totals of all the clerks to secure the total sales. The 295total sales of each clerk are then entered on a statistical sheet which shows a comparison of the total daily sales of each clerk for the month, as shown in Table II.

The slips are then sorted according to departments, then added again, and similar information written on statistical sheets with the department numbers at the top, instead of the clerk numbers. The grand totals must agree to prove the work.

The slips are then sorted according to customers. If Mrs. J. B. Jackson has bought goods in three different departments, the auditing department will pin the three slips together and mark the total of the slips to be charged to her account on the back of the under slip. If there are twelve bill clerks and twelve billing machines, all the slips will then be assorted into twelve lots, each lot representing the number of accounts taken care of by each bill clerk.

TABLE II
COMPARISON OF DAILY SALES OF CLERKS
Clerk No. 1 2 3 4 5 6 7 8
Total Days                
335 38 1 30 50 55 45 47 70 35 35 56 78 34 25 40 56 34 79
492 53 2 56 74 87 55 9 76 87 23 54 09 19 89 86 75 90 52
etc. etc. etc. etc. etc. etc. etc. etc. etc. etc.
                   

Each bill clerk receives the slips in alphabetical order. The monthly folded bills are arranged in the same order. These are held in binders—a special kind, such as the Tengwall, being used—from which the bills can be easily and quickly removed. Some firms prefer to file daily in vertical files the current monthly bills, upon which the charges are being made.

Some machines, such as the Smith Premier and the Elliott-Fisher, have a carbon roll on their machines for manifolding these duplicate folded bills without handling the carbon paper. These attachments were especially designed for this particular work.

After the operator has entered the charges of the three slips for Mrs. J. B. Jackson, or any other customer having more than one 296slip for the previous day's purchases, she compares the total she has placed on the bill with the total marked on the back of the slips by the auditing department.

Fig. 25 shows samples of folded monthly retail bills. The black showing under the top sheet, which is turned over, is the carbon paper used with the bills when made on machines not equipped with the carbon-roll attachment. Some firms place the carbon paper between the sheets at the beginning of the month, and leave it there; others place the carbon paper between the sheets for every charge which is made to the bill.

After all the charges have been made, the operator adds up on the adding machine the totals of all the last charges on the various bills to which charges have been made that day. This total must agree with the amount which the auditing department handed over to each bill clerk to be entered upon these bills. The Smith Premier and Elliott-Fisher have tally-strip devices which automatically record the total of each charge made to all the various bills each day. This paper strip, when added up, must agree with the total of the auditing department figures.

At the end of the month, about the 26th, most firms begin to total the columns of the bill. The final total of each bill added to the total of every other bill must give a grand total equal to all the charges for the month. This proves that each bill has been correctly added. The balance due from the previous bills is then brought forward, and any payments made during the month deducted, and the bill footed. All credits for returned goods are entered during the month the same as the charges, excepting that they are placed in a separate column provided for that purpose, and deducted at the end of the month from the charges.

Some firms post the total charges and credits for the month to the ledger in two lump sums. Other firms prefer to post the total of each day's charges to the ledger daily, instead of letting the posting go until the end of the month. This is a matter to be decided from a bookkeeping standpoint. If the bookkeepers have the current month's charges in the ledger, it saves referring to the bills at the bill clerk's desk for information or the current month's charges.

297

Fig. 25. Monthly Statements of Retail Dry Goods Houses
Remington Typewriter Co.

298

Fig. 26. Smith Premier Device for Inserting Dry Goods Billing Forms Evenly

299After the bills have been sent out, the duplicates are filed away. The best known way to file them is alphabetically; each customer's bill for the various months together. This is in contrast to the plan of filing each month's bills away separately. If it is wished to refer to any one person's charges for a given number of months it is necessary, under the latter plan, to refer to several binders.

Fig. 27. Remington Billing Machines

One of the devices which did more to permit cylinder machines to do billing successfully is shown in Fig. 26. Formerly, when two or more sheets of paper were inserted in a cylinder machine, the small feed roll which rests against the large rubber platen, fed the under papers at a different speed than those sheets which rested against the large roll. The result was that the papers were fed unevenly into the machine. When removed, it was impossible to replace them in the same relation in which they were before.

The device illustrated furnishes a resting place for evenly placing all the sheets in the machine by pressing a release lever which draws the feed rolls away from the large roll until the papers or sheets are 300properly placed in the machine. Started evenly, they will invariably feed evenly.

Fig. 28. Smith Premier Dry Goods Billing Machine

This is of particular advantage in retail dry goods billing, where a sheet is placed in and out of a machine as many as thirty times a month. If the top of the bill is each time started from the same starting point, namely, the top of the statement, it will feed correctly to the next writing point on the statement without any adjustment. The Remington, Fig. 27, and Underwood machines are equipped with devices for the same purpose. The Smith Premier, Fig. 28, and the Elliott-Fisher machines are equipped with rolls of carbon which automatically manifold folded monthly bill forms.

DEVICES OF THE FUTURE

One of the successful devices which is being perfected at this time is a combination of an adding machine and a cylinder billing machine which can be operated as a combined machine or separately as two machines, and may be actually removed, one from another. The idea is to have a platen or roll which can act as shuttle between the typewriter and the adding machine. By pressing a button, the roll travels from the typewriter to the adding machine. This scheme has the same advantage as has the farmer who can operate his horses singly or in pairs.

The adding machine people have been experimenting and gradually increasing the printing capacity of their machines. They are now able to print the different months of the year and some other 301abbreviations for monthly statement work. Further developments can be expected along this line. Adding machines which list are a very important factor in office work and their capacity is so large for certain classes of work that space does not permit of detailed treatment here.

Fig. 29. Adding and Subtracting Machine Combined with Cylinder Billing Machine
Remington Typewriter Co.

While marvelous improvements have been made in the last decade, the next one promises equally well, especially in the adding-machine line.

303

REVIEW QUESTIONS.
 
PRACTICAL TEST QUESTIONS.

In the foregoing sections of this Cyclopedia numerous illustrative examples are worked out in detail in order to show the application of the various methods and principles. Accompanying these are examples for practice which will aid the reader in fixing the principles in mind.

In the following pages are given a large number of test questions and problems which afford a valuable means of testing the reader's knowledge of the subjects treated. They will be found excellent practice for those preparing for Civil Service Examinations. In some cases numerical answers are given as a further aid in this work.

305

REVIEW QUESTIONS
ON THE SUBJECT OF
COMMISSION AND STORAGE

1. What advantages are derived from a division of the ledger? Name the three most common subdivisions of the ledger.

2. What accounts are kept in the purchase ledger; in the sales ledger; in the general ledger? Under what circumstances should accounts with an individual be kept in both purchase and sales ledgers?

3. What is a controlling account? What do the balances of sales and purchase controlling accounts represent? From what sources are the debits and credits to these accounts derived?

4. When loose-leaf order blanks are used, what is the customary routine followed in filling and charging orders?

5. For what purposes are special distribution columns in a sales book used?

6. To what accounts in the general ledger are total purchases, as shown by the invoice register, posted? In what way are these two accounts distinguished?

7. Describe briefly the cash journal, and explain how it is used? What, if any, objection can be raised to making entries which do not involve an exchange of cash, or its equivalent, in the cash journal?

8. Why is the expense account divided? Name some of the accounts representing different classes of expense.

9. What is meant by petty cash, and how should the account with petty cash be handled?

30610. The check of Martin Mason for $164.20 went to protest, and was returned by our bank with a protest fee of $2.50. What entry is necessary to record this on our books?

11. Prepare trading and profit and loss accounts representing the transactions listed in Art. 16, Pages 28 to 31, inclusive.

12. How can an order record be used as a sales record? Why is an abstract of sales used in connection with such sales records? Explain how this abstract is made up.

13. If goods are sold at f. o. b. prices, but the freight is prepaid as an accommodation to the customer, how should it be treated on the books? Why?

14. Name three or more subdivisions of sales expense, and explain what items are properly included in each.

15. Why are check registers taking the place of the old style check book? When a check register is used, how are the checks kept?

16. What is a cash received book, and for what purpose is it used?

17. Complete the exercise given at the end of Art. 29, Page 42.

18. What is your understanding of the meaning of the terms commission and brokerage? What is the distinction between a commission merchant and a merchandise broker?

19. What is a manufacturer's agent, and how does his business differ from that of a commission merchant or broker?

20. By what term is a consignment of goods to a broker known on the books of the shipper? In what name is an account opened to represent the consignment?

21. How is the above account made up? When is the account closed, and to what account is the balance transferred?

22. What is an account sales? When an account sales is received without a remittance, what account should be opened, and what does it represent?

23. When a broker receives a shipment of goods to be sold on commission, by what name is it known on his books? In what name is an account opened?

24. If a broker renders an account sales without a remittance, to what account should he credit the net proceeds? Why?

30725. If a broker has on hand any unsold consignments when his books are closed, do the accounts represent assets or liabilities? How would you determine the broker's liabilities on account of consignments?

26. Name the books used by a produce shipper, and explain how each is used.

27. What is a shipment ledger account, and how is it made up? What is a profit and loss on shipments account?

28. In what way does the journal used by a shipper differ from the one used by the average merchant?

29. How is the trading account of a shipper made up?

30. Prepare trading and profit and loss accounts called for in Art. 48.

31. Name and describe the uses of the books used by a commission merchant.

32. Prepare trading and profit and loss accounts, and balance sheet called for in Art. 57.

33. What is a storage business, and for what purpose is it conducted?

34. What is a warehouse receipt, and what does it represent?

35. Explain what is meant by simple storage, and average storage.

308

REVIEW QUESTIONS
ON THE SUBJECT OF
SINGLE ENTRY—COMPARATIVE STATEMENTS

1. What is the distinctive feature of single entry bookkeeping? In what respect does single entry fail to fulfil the functions of bookkeeping?

2. What books are usually used in single entry? How does the single entry cash book differ from that used in double entry?

3. In posting, what features distinguish single entry from double entry?

4. How can the accuracy of single entry books be proved?

5. To determine the profits of a business whose books are kept by single entry, what steps are necessary? What are the steps in closing single entry books?

6. On a certain date the assets and liabilities of Henry Lamson are as follows:

ASSETS
 
Cash $452.00
Due from sundry debtors 77.20
Merchandise per inventory 764.50
 
LIABILITIES
 
Due sundry creditors 142.00

The following transactions are recorded:

Sales to sundry persons on account $46.71
Bought from sundry persons on account 339.54
Sales for cash 96.90
Received cash on account 64.00
Paid cash on account 133.50
Paid cash for rent 37.50
Paid cash for clerk hire 8.00

309Record these transactions in single entry books; prepare proof of ledger and statements of assets and liabilities, the merchandise inventory at end of period being $983.75. Do the books show a profit or a loss, and how does it affect the account of the proprietor?

7. Explain, briefly, the necessary routine followed in changing single entry books to double entry.

8. H. P. Hayes established a small factory upon a borrowed capital of $10,000. The undertaking was a success, and at the close of the first year his financial condition was disclosed by the following particulars:

Bills payable $4,000.00
Accounts payable 6,574.50
Cash 1,752.50
Accounts receivable 12,694.18
Inventory 4,765.90
Salaries 3,500.00
Sundry expenses 435.50
Manufacturing expenses 11,759.50

Mr. Hayes kept his own books during his first year in business, but did not keep them by double entry. His sales for the year amounted to $35,643.25, and his total purchases amounted to $16,076.07. At this point Mr. Hayes admitted as a partner, A. B. Andrews, who contributed $10,000.00 to the partnership upon the agreement that the partners should share equally in the business. A bookkeeper was engaged to keep the books by the double entry system. From the particulars given, make a trial balance and the necessary journal entries to complete the change to the double entry method. Ascertain the interest of Mr. Hayes in the business, and credit his account with the same.

9. Foster, Harvey, and Morton—a copartnership—wish to change their method of bookkeeping from single to double entry. The partnership agreement provides that each partner shall share in the profits in proportion to his investment. Separate investment and withdrawal accounts have been kept with each partner. In the following statement of ledger accounts, partners' investment accounts show the same balances as at the last adjustment, no additional investments having been made:

310
Foster, Investment Credit Balance $1,600.00
Harvey, Investment Credit Balance 1,200.00
Morton, Investment Credit Balance 1,200.00
Personal Accounts Credit Balance 900.00
Personal Accounts Debit Balance 1,900.00
Foster, Withdrawals Debit Balance 315.00
Harvey, Withdrawals Debit Balance 240.00
Morton, Withdrawals Debit Balance 155.00
Bank Debit Balance 2,050.00
Cash in Office   45.00

An inventory shows merchandise $1,775.00, fixtures $300.00.

Show all entries necessary to make the partnership adjustment and change the books to double entry, indicating by check √ the accounts to be posted.

10. The books of the Star Coal Company, a corporation with a paid-up capital of $10,000.00, have been kept by single entry. The following facts are gathered from the books:

Cash in Bank   $3,500.00
Personal Accounts Debit Balances 6,500.00
Cash in Office   200.00
Personal Accounts Credit Balances 2,500.00

An inventory results as follows:

Coal 3,750.00
Horses and Wagons 800.00
Furniture and Fixtures 300.00

Make necessary journal entries to change to double entry. Provide a reserve of 5% for uncollectible accounts, 10% for depreciation of horses and wagons, 10% for depreciation of furniture and fixtures. Declare a dividend of 10% and transfer balance of profits to surplus, making all journal entries to record these transactions.

11. Prepare a model trial balance of an imaginary business, or one with which you are familiar, giving special attention to the proper grouping of the accounts. Explain the benefits of your grouping of the accounts.

12. What is a working balance sheet? From the trial balance, which you have prepared, make up a working balance sheet, supplying such additional figures as may be necessary.

13. What are the fundamental advantages of comparative statements? On what basis should percentages be figured in on analysis of the manufacturing account? of the trading account?

31114. To prove the accuracy of the ledger without a trial balance, what steps are necessary? What test is applied to determine whether the ledger balances?

15. What is meant by a book inventory? How can the receipts be determined? the disbursements or quantities sold?

16. What is the reverse or slip posting system? How is it operated?

17. Describe, briefly, the loose-leaf ledger. Describe the principal methods of indexing. Name some of the advantages of the loose-leaf ledger.

18. For what classes of accounts is the card ledger specially desirable? What are the principal methods of indexing the card ledger?

19. What is a tabular ledger? Describe the Boston Bank Ledger. Is a tabular ledger well adapted for commercial accounts?

20. What is meant by a balance ledger? What are its advantages?

21. Prepare a form of cash journal segregating administrative, selling, and manufacturing expense for an imaginary business, or one with which you are familiar.

22. Prepare a form of sales journal for a business having five departments.

312

REVIEW QUESTIONS
ON THE SUBJECT OF
TRUSTEES' ACCOUNTS; STOCK
BROKERS' ACCOUNTS

1. From an accounting standpoint, into what two classes can business be divided? What is the position of the trustee of an estate, as against the public?

2. Describe the essential features of the accounting of an executor.

3. In what two forms may an executor's accounts be kept? By what term are his accounts with properties known?

4. What are the proper classifications of an executor's accounts?

5. Two trustees collect in one year an income of $50,000.00 for a beneficiary, at an expense of $3,100.00. If each trustee receives an equal share, what commission should each receive, and what amount will be paid to the beneficiary, under the New York law? Prepare a complete solution of this problem.

6. Prepare a solution of the following: Four trustees collect and pay out of an estate the sum of $416,000.00, the total debts of the estate being $201,000.00. What commission will each trustee receive?

7. Prepare a statement of the executor's accounts—from the particulars given on Pages 17 and 18—showing the balance due each legatee.

8. What is a realization and liquidation account? How is it made up?

9. What is a statement of affairs? In what respect does it differ from a balance sheet?

31310. How does a statement of affairs of a bankrupt differ from that of a going concern?

11. What is the purpose of a deficiency account?

12. Wm. Andrews, finding himself on July 1st unable to meet his obligations, asks you to make up his statement of affairs for submission to his creditors, and a deficiency account for his own information. You find from his books and other sources the following facts regarding his business:

Unsecured creditors $9,000.00
Fully secured creditors 2,300.00
Holding securities of the value of $3,000.00  
Partly secured creditors 35,000.00
Holding securities of the value of $20,000.00  
Preferred claims 800.00
Bills payable 20,000.00
Accounts receivable, home office (good) 1,000.00
"         " (doubtful) $200.00, estimated to  
realize 75.00
"         " (bad) $300.00  
Stock, Home Office, cost $1,500.00, estimated to  
realize 1,200.00
Stock and accounts receivable, less sundry liabilities,  
at branches 36,000.00
Of which it is estimated there will be a loss  
on realization of stock $6,000.00, of accounts  
receivable $9,000.00.  
Buildings and equipment at branches, cost $40,000.00,  
estimated to realize 20,000.00
Office furniture $300.00, estimated to realize 200.00
Cash in office 4.00
Cash in bank 80.00
Bonds held by fully secured creditors 3,000.00
Stocks held by partly secured creditors 20,000.00

Six years ago Andrews' capital was $42,000.00. The profits for the first three years appear to have been $3,000.00, $4,000.00, and $5,284.00, and the losses for the three subsequent years $1,500.00, 314$2,500.00, and $3,000.00, after allowing $2,000.00 a year for interest on capital. His withdrawals have been at the rate of $4,000.00 a year. From these particulars, prepare a statement of affairs and a deficiency account.

13. What differences exist between a transaction for the purchase or sale of stock, and the purchase or sale of grain?

14. Explain a ring settlement.

15. What is necessary to post to the customer's ledger account, and from what sources do you post?

16. Show form of margin book and explain how it is kept.

17. In what cases should interest be charged? What is it charged for?

18. What should be entered in the general cash book?

19. Explain fully the handling of office cash.

20. If A bought 5,000 bushels of wheat at $1.20, and sold 12,000 bushels at $1.21, how much cash would he be obliged to deposit to secure the fulfillment of his orders?

21. What is the cash which he deposits called?

22. Write an order form for the sale of 25,000 bushels of corn @ 76¼c made upon the orders of Mr. D.

23. Show what acknowledgment must be made to Mr. D.

24. What is the daily record sheet? For what purpose is it used? Explain the entries in this book.

25. Explain how stock purchases should be handled, what records should be kept, and what information in regard to them is necessary.

26. What is the difference between a bull and a bear?

27. Explain the meaning of a buying order and state how it should be treated in the accounting department.

28. On July 5th James Robinson sold 25,000 bushels of September wheat at 1.04½; on July 10th he purchased 10,000 bushels wheat at 1.02¼, and on July 11th he purchased 15,000 bushels of wheat at 1.02. Make a statement of this account for Mr. Robinson.

29. What is the difference between listed and unlisted stock?

30. What is a debit or credit slip and for what purpose is it used?

31. Show the ruling of the stock ledger and explain the necessity of each column. Rule a sample page.

31532. For what purpose is the journal used in connection with the brokerage business?

33. Explain the meaning of buyer's option.

34. Explain the meaning of carrying charges.

35. Explain the meaning of a put and a call.

316

REVIEW QUESTIONS
ON THE SUBJECT OF
BILLING AND ORDER RECORDING

1. Explain the difference in principle between the cylinder billing machine and the flat-bed billing machine.

2. Explain the meaning of manifolding.

3. Explain in your own language why the plan of copying invoices in tissue books with a letter press is inferior to the billing-machine method of typewriting the invoice and sales sheet simultaneously.

4. If an office boy mailed a pen-written invoice without copying same in the tissue book, what method would enable the firm to detect such oversight?

5. What is the difference between the style of invoice used on flat-bed machines and on cylinder machines?

6. When a concern uses two ledgers on account of having too many customers to be conveniently held in one ledger, what change is advisable in ruling the columns of the sales sheet?

7. What plan is used in classifying sales according to territory, salesmen, etc.; and what means is used to prove the footings of each page?

8. How much of the left side of the sales sheet do you understand is covered by the invoice when they are both in the machine for the purpose of making the bill and charge?

9. How do you classify with the machine the amounts of the bills in the columns to the right of the total column?

10. Name all of the reasons you can, whether included in the textbook or not, for making duplicate invoices.

11. Explain why some firms are enabled to make their invoices (and, of course, sales sheets) before the goods are shipped, and give 317reasons why other firms are forced to wait until after the order has been shipped, or at least partially shipped, before making invoices.

12. Explain what plan you would use to inform the packer of the description of the goods to be shipped, but prevent him from knowing the quantities, in order to further prevent him from double-checking the figures showing quantities and at the same time neglecting to count the articles.

13. Where the firm sells three or four classes of goods and wishes to keep a continuous record of the tonnage sold, that is, weight of the various classes of goods, how would you rule the invoice and sales sheet in order to shorten the billing?

14. If you were forced to substitute one size of an article in place of another size ordered (without injury to the customer), how would you design your forms in order to enable you to typewrite the size shipped and size ordered on the sales sheet, and size ordered, only, on the invoice?

15. If you wish to typewrite a requisition for goods ordered at the time the invoice and sales sheet are written, how would you arrange it?

16. What is the difference between the terms unit billing and condensed billing? Under what conditions would you recommend unit billing and when condensed billing?

17. What is the best plan of facilitating the filling of orders where there are a large number of floors or departments and where each day's orders are supposed to be filled upon the day the orders are received?

18. Why should a plan which is highly satisfactory in a small concern prove to be an absolute failure in a large one?

19. What is meant by split orders?

20. Describe the different forms of punched holes of loose-leaf sheets and why the closed-hole punching is not adapted for use with records which are to be removed and replaced in binders from time to time.

21. Describe the different forms of binders with which you are familiar.

22. In printing invoices what is the best plan of designing the headings in order to facilitate the execution of the invoice on billing machines? Would you pay any attention to the space between the 318lines of the heading and to the distance between the last line to be typewritten on the heading and the first line to be typewritten on the invoice?

23. Explain the mistakes made in using carbon paper, and under what conditions you would use the various weights of carbon paper.

24. Explain what is meant by a blind.

25. Explain what is meant by credit memoranda, and tell how to use them in connection with a sales book instead of having to use a separate credit sheet.

26. Explain the use of special characters on the billing machine, and what is meant by aligning them in order to prevent one abbreviation being printed over the top of another.

27. Explain the difference between a single-stop tabulator and a decimal-stop tabulator.

28. What is the advantage of having a billing operator on a platform on wheels in a wholesale dry goods house?

29. Under what conditions would you recommend the use of the separate billing machine and separate computing machine for the same work?

30. Explain the benefits to be derived from the use of the color scheme.

31. What is meant by compound forms, and under what conditions can they be used?

32. In what general way does retail dry goods billing differ from condensed billing and what is the difference in the general style of stationery used?

33. What is the best plan of filing the duplicate monthly retail dry goods bill?

34. What is the plan used in retail dry goods billing to prevent goods from being shipped out of the store without a charge being made?

35. What is the advantage of a subtracting device on the billing machine with adding attachment?

319

INDEX

The page numbers of this volume will be found at the bottom of the
pages; the numbers at the top refer only to the section.
A
 
Abstract of sales 1
 
Accounting forms, special 146-161
cash books 155
ledgers 147
balance 152
card 148
loose-leaf 147
tabular 152
pay-roll records 160
tabular sales book 157
 
Accounts with trust provisions 180
 
Adding machine and cylinder billing machine combined 301
 
Adding machine and typewriter combined 289
 
 
B
 
Back orders 262
 
Balance ledgers 152
with two balance columns 154
with two credit columns 154
for installment accounts 155
 
Bearing the market 229
 
Bid price 229
 
Billing machine  
development of 242
how to handle orders and bills on 280
Smith Premier 300
 
Billing and order recording 235-301
acknowledgment of order to salesman 268
analysis of quantities and amounts 257
back orders 262
billing machine 241
carbon paper 277
colored sheets 288
compound forms 290
computing machines in connection with 286
duplicate invoices 253
320goods purchased outside 258
information on sales sheet not on invoice 257
loose-leaf sales sheets and invoices 244
manifolding, machines for 239
order form 266
reference information 289
retail dry goods billing 292
split orders 264
stationery 269
traffic department records 256
unit billing 260
 
Blinds 280
 
Board of trade terms, glossary of 229-232
 
Book inventories 134
 
Borrowing stock 229
 
Boston bank ledger 152
 
Break in the market 229
 
Broken lot 229
 
Brokerage concern, legitimate 198
 
Broker's commission 197
 
Bucket shops 197, 229
 
Bulls and bears 196
 
Buy at market 229
 
Buyer's option 229
 
Buying order 230
 
 
C
 
Cables 230
 
"Call" 230
 
Card ledgers 148
 
Carbon paper 277
color 277
copy 279
finish 277
four-pound 278
full 279
pen 279
pencil 279
seven-pound 278
ten-pound 278
troubles and remedies 279
wearing quality 280
 
Carrying charges 230
 
Cash book 15, 155
 
Cash grain 230
 
Cash received book 49
 
Check register 45, 227
 
321Clearing house 199
 
Colored sheet system for billing and order recording 288
 
Commission accounts 60-83
actual sales, treatment of 68
cash book 77
consignment 62
consignment ledger 77
exercise 76
manufacturer's agent 60
merchandise broker 60
produce shipper's books 63
receiving book 77
sales book 77
sample transactions 69, 78
shipments 61
shipper's trading account 68
 
Commission, executor's 168
 
Commissions 230
 
Commodities handled by brokers 200
 
Comparative statements 129
book inventories 134
proof without trial balance 131
reverse or slip posting 143
trial balance 129
 
Computing machines, use of, in connection with billing 286
 
Consignment 62
commission account 63
principal's account 62
 
Controlling accounts 12
 
"Cornering the market" 200
 
"Curb" 230
 
Curbstone broker 230
 
Customers' ledger 220
 
Customer's statement 224
 
Cylinder billing machines 241
 
 
D
 
Debit and credit rules 93
 
Debit and credit slip 206
 
"Delivery" 230
 
Designing stationery 273
 
"Dividend" 230
 
"Dump" 230
 
 
E
 
"Even" 230
 
Executor's accounts 163
classification 168
commissions 168
form of 166
sample accounts 169
schedules 164
 
322Expense account, subdivision of 16
 
 
F
 
Flat-bed billing machines 241
 
"Flurry" 230
 
Forms  
abstract of sales, departmental 43, 57
accounting of an executor 186
balance form for general ledger 222
balance form of ledger card 151
balance ledger for installment accounts 155
balance ledger with two balance columns 154
balance sheet and trial balance of general ledger 37
billing of invoicing loose-leaf sales book 249
Boston bank ledger 153
broker's general cash book 213
broker's statement to a customer 223
cash journal 156
columnar 27
for commission business 66, 72
cash received book 48
check register 228
check register and cash expenditure book 47, 58
colored sheet system for billing and order recording 291
commercial tabular ledger 153
commission merchant's  
cash journal 81
consignment and sales ledger 82
general ledger 83
journal 80
receiving book 80
sales book 80
compound forms showing invoice and office records 293
credit slip given to customer by broker 206
customers' ledger, variety of rulings for 219
daily advice of purchase or sale rendered to customers 210
daily sales journal or record of grain sales 208
daily sales journal or record of stock sales 207
deficiency account which shows causes of loss 191
departmental pay-roll record for piece work and day workers 159
executor's account of cash receipts and disbursements 173
executor's accounts with trust provisions 181-185
323executor's journal 172
general ledger 33-35, 227
information on sales sheet not on invoice 259
invoice for use on billing machine 247
journal entries, adjusting 25
journal entries to change to double entry 119
ledger with accounts classified 139-143
ledger after changing to double entry 120
ledger with two credit columns 154
ledger account of each stock handled 218
ledger account of an executor, classified 174
ledger card for dentists 149
ledger card for publishers 150
ledger proof without a trial balance 144
loose-leaf ledger 148
loose-leaf sales sheet 248
loose-leaf sales sheet and invoices 246
loose-leaf sales sheet and invoices with columns for distribution of labor and stock 254
loose-leaf stock ledger 136
memorandum of deposit with broker to secure contracts 203
monthly posting proof sheet 145
monthly statements, retail dry goods houses 297
office cash disbursements, detailed record of 215
opening entry in journal 24
order blank 14
order and sales record 53-56
order and sales record combined 42
pay-roll and check register combined 161
petty cash voucher 17
proof of single entry ledger 107
purchase book and journal, columnar 71
purchase and general ledgers 32
record of loans payable during each month 225
record of margin balances to protect customer's account 216
record of stocks in hands of broker 211
requisition forms for order handling 267
sales book and invoice register 26
sales ledger 29
sales and purchase ledgers 31
sales journal with adjustment column 158
sales journal arranged for distribution to two ledgers 251
sales recapitulation sheet 158
sales sheet for analyzing quantities and amounts of goods 257
sales sheet for condensed billing 255
schedule filed by an executor 177
shipment book 63, 70
324shipment ledger for commission business 65
shipper's cash journal 59
shipper's general ledger 74
shipper's purchase and shipment ledger 73
single entry cash book 103
single entry journal 100-102
single entry ledger 104-106
single entry partnership ledger 113-117
single entry profit and loss statement 108
special journal used by grain commission company 209
split-order schemes, forms for 265
statement of affairs of a bankrupt 189
statement of sales and purchase ledger 36
stationery properly designed 276
stock ledger card 136
stock ledger card and indexes 137
storage charges statement 88
storage record 87
tabular ledger 153
tabular sales book 157
telegraphic buying and selling orders 205
trial balance book 46
typewriter type, styles of 274
unit billing, samples of 261
working balance sheet 127
 
"Futures" 231
 
 
G
 
General ledger 12, 222
 
Gothic type 275
 
Grain commission journal sheet 209
 
Grain purchases 195
 
 
I
 
"In sight" 231
 
Invoice register 15
 
 
L
 
Legitimate brokerage concern 198
 
"Limit" 231
 
Listed securities 231
 
"Long" 231
 
Loose-leaf ledgers 147
 
Loose-leaf sales sheets and invoices 244
 
 
325M
 
Manifolding, machines for 239
 
"Margin" 231
 
Merchandise broker 60
 
 
O
 
"Open market" 231
 
"Open order" 231
 
"Option" 231
 
Order blanks 13
 
Order and sales record combined 41
 
Order work of wholesale grocers 260
 
Out freight 42
 
 
P
 
Pay-roll records 160
 
Petty cash voucher 17
 
Pit 232
 
Pool 231
 
Posting 93
 
Produce shipper's books 63
cash book 64
journal 67
purchase book 63
shipment book 64
shipment ledger 64
 
Protested paper, treatment of 18
 
Purchase controlling account 13
 
Purchase ledger 11
 
"Put" 231
 
"Put and call" 231
 
 
R
 
Realization and liquidation accounts 188
 
Reference information 289
 
"Remargin" 231
 
Remington standard typewriter 299
 
Retail dry goods billing 292
 
Reverse or slip posting 143
 
"Ring" 231
 
"Ring settlement" 199
 
 
S
 
Sales book 14
 
Sales expense 44
advertising 44
packing and shipping 44
326salaries of salesmen 44
traveling expenses of salesmen 44
 
Sales ledger 12
 
Sales recapitulations 158
 
Securities 197
 
"Sell at market" 231
 
"Sell at opening" 231
 
"Selling order" 231
 
"Settlement" 231
 
Shipments 61
 
Shipper's trading account 68
 
"Short" 232
 
Single entry bookkeeping 91-122
books used 92
bill book 92
cash book 92
ledger 92
order book 92
changing corporation books to double entry 118
changing to double entry 110
changing partnership books to double entry 110
closing the books 109
debit and credit rules 93
determining profit 108
distinctive features of 92
posting 93
proprietor's account 93
proving the work 93
sample transactions 94
statement of assets and liabilities 111
statement of ledger 112
 
"Sky rocketing" 232
 
"Slump" 232
 
Smith Premier carbon roll billing machine 300
 
Special accounting forms 146-161
 
Split orders 264
 
"Spread" 232
 
Statement of affairs 188
of a bankrupt 188
 
Stationery 269
binders 269
designing 273
loose-leaf sheets 269
printed for typewritten work 271
 
327Stock brokers' accounts 195-232
bookkeeping for 196
books and forms used 204
advice of purchase of sale 211
bills payable record 224
cash book 212
check register 227
customer's statement 224
daily record sheet 208
debit and credit slip 206
grain commission journal sheet 209
journal 226
ledgers 218
margin book 217
office cash disbursement sheet 214
order blank 205
stock record 212
broker's commission 197
bucket shops 197
bulls and bears 196
capital required 195
clearing house 199
commissions allowed by board to brokers 204
commodities handled 200
cornering the market 200
deposits to secure fulfillment of time contracts 203
glossary of board of trade terms 229-232
grain purchases 195
legitimate dealers 198
office cash disbursements 214
ring settlement 199
securities 197
settlement of contracts by offset 201
value of the wire 200
 
Stock ledger 218
 
"Stop loss order" 232
 
Storage 84
 
Storage accounts 85
special records required 86
 
"Straddle" 232
 
"Sweeten" 232
 
 
T
 
Tables  
chart for checking retail sales slips 294
daily sales of checks, comparison of 295
 
Tabular ledger 152
 
Tabular sales book 157
 
Tabulators on billing machines 284
 
328"Ticker" 232
 
Traffic department records 256
 
Trial balance book 45
 
Trial balances and comparative statements 123-128
balance sheet 125
profit and loss statement 126
trading statement 125
trial balance 124
working balance sheet 128
 
Trustees' and executors' accounts 163-192
 
Type, styles of 275
elite 275
Gothic 275
large Roman 275
medium Roman 275
pica 275
 
Typewriter and adding machine combined 289
 
 
U
 
Underwood billing machine 241
 
Underwood special roll machine 239
 
Unit billing 260
 
 
W
 
Wash sale 232
 
Wholesale accounts 11-59
cash book 15
cash received book 49
check register 45
controlling accounts 12
exercises 38-40
expense account 16
expense book, traveler's 45
general ledger 12
invoice register 15
order blanks 13
order and sales record combined 41
out freight 42
petty cash voucher 17
protested paper 18
purchase ledger 11
sales book 14
sales expense 44
sales ledger 12
sample transactions 18-23, 49
trial balance book 45

TRANSCRIBER'S NOTES

  1. Many pages had section page numbers as well as book page numbers. Footnote 2 on page 10 refers to the book page numbers. Ignored the section page numbers.
  2. Changed 22.50 to 30.50 on page 95 since both 244×.125=30.50 and 30.50+15.08=45.58.
  3. Opening but no close quotes for next few pages beginning on p. 201.
  4. Silently corrected simple spelling, grammar, and typographical errors.
  5. Retained anachronistic and non-standard spellings as printed.





End of the Project Gutenberg EBook of Cyclopedia of Commerce, Accountancy,
Business Administration, Volume 5 (o, by Various

*** END OF THIS PROJECT GUTENBERG EBOOK CYCLOPEDIA OF COMMERCE, VOLUME 5 ***

***** This file should be named 51676-h.htm or 51676-h.zip *****
This and all associated files of various formats will be found in:
        http://www.gutenberg.org/5/1/6/7/51676/

Produced by Richard Tonsing, Juliet Sutherland and the
Online Distributed Proofreading Team at http://www.pgdp.net

Updated editions will replace the previous one--the old editions will
be renamed.

Creating the works from print editions not protected by U.S. copyright
law means that no one owns a United States copyright in these works,
so the Foundation (and you!) can copy and distribute it in the United
States without permission and without paying copyright
royalties. Special rules, set forth in the General Terms of Use part
of this license, apply to copying and distributing Project
Gutenberg-tm electronic works to protect the PROJECT GUTENBERG-tm
concept and trademark. Project Gutenberg is a registered trademark,
and may not be used if you charge for the eBooks, unless you receive
specific permission. If you do not charge anything for copies of this
eBook, complying with the rules is very easy. You may use this eBook
for nearly any purpose such as creation of derivative works, reports,
performances and research. They may be modified and printed and given
away--you may do practically ANYTHING in the United States with eBooks
not protected by U.S. copyright law. Redistribution is subject to the
trademark license, especially commercial redistribution.

START: FULL LICENSE

THE FULL PROJECT GUTENBERG LICENSE
PLEASE READ THIS BEFORE YOU DISTRIBUTE OR USE THIS WORK

To protect the Project Gutenberg-tm mission of promoting the free
distribution of electronic works, by using or distributing this work
(or any other work associated in any way with the phrase "Project
Gutenberg"), you agree to comply with all the terms of the Full
Project Gutenberg-tm License available with this file or online at
www.gutenberg.org/license.

Section 1. General Terms of Use and Redistributing Project
Gutenberg-tm electronic works

1.A. By reading or using any part of this Project Gutenberg-tm
electronic work, you indicate that you have read, understand, agree to
and accept all the terms of this license and intellectual property
(trademark/copyright) agreement. If you do not agree to abide by all
the terms of this agreement, you must cease using and return or
destroy all copies of Project Gutenberg-tm electronic works in your
possession. If you paid a fee for obtaining a copy of or access to a
Project Gutenberg-tm electronic work and you do not agree to be bound
by the terms of this agreement, you may obtain a refund from the
person or entity to whom you paid the fee as set forth in paragraph
1.E.8.

1.B. "Project Gutenberg" is a registered trademark. It may only be
used on or associated in any way with an electronic work by people who
agree to be bound by the terms of this agreement. There are a few
things that you can do with most Project Gutenberg-tm electronic works
even without complying with the full terms of this agreement. See
paragraph 1.C below. There are a lot of things you can do with Project
Gutenberg-tm electronic works if you follow the terms of this
agreement and help preserve free future access to Project Gutenberg-tm
electronic works. See paragraph 1.E below.

1.C. The Project Gutenberg Literary Archive Foundation ("the
Foundation" or PGLAF), owns a compilation copyright in the collection
of Project Gutenberg-tm electronic works. Nearly all the individual
works in the collection are in the public domain in the United
States. If an individual work is unprotected by copyright law in the
United States and you are located in the United States, we do not
claim a right to prevent you from copying, distributing, performing,
displaying or creating derivative works based on the work as long as
all references to Project Gutenberg are removed. Of course, we hope
that you will support the Project Gutenberg-tm mission of promoting
free access to electronic works by freely sharing Project Gutenberg-tm
works in compliance with the terms of this agreement for keeping the
Project Gutenberg-tm name associated with the work. You can easily
comply with the terms of this agreement by keeping this work in the
same format with its attached full Project Gutenberg-tm License when
you share it without charge with others.

1.D. The copyright laws of the place where you are located also govern
what you can do with this work. Copyright laws in most countries are
in a constant state of change. If you are outside the United States,
check the laws of your country in addition to the terms of this
agreement before downloading, copying, displaying, performing,
distributing or creating derivative works based on this work or any
other Project Gutenberg-tm work. The Foundation makes no
representations concerning the copyright status of any work in any
country outside the United States.

1.E. Unless you have removed all references to Project Gutenberg:

1.E.1. The following sentence, with active links to, or other
immediate access to, the full Project Gutenberg-tm License must appear
prominently whenever any copy of a Project Gutenberg-tm work (any work
on which the phrase "Project Gutenberg" appears, or with which the
phrase "Project Gutenberg" is associated) is accessed, displayed,
performed, viewed, copied or distributed:

  This eBook is for the use of anyone anywhere in the United States and
  most other parts of the world at no cost and with almost no
  restrictions whatsoever. You may copy it, give it away or re-use it
  under the terms of the Project Gutenberg License included with this
  eBook or online at www.gutenberg.org. If you are not located in the
  United States, you'll have to check the laws of the country where you
  are located before using this ebook.

1.E.2. If an individual Project Gutenberg-tm electronic work is
derived from texts not protected by U.S. copyright law (does not
contain a notice indicating that it is posted with permission of the
copyright holder), the work can be copied and distributed to anyone in
the United States without paying any fees or charges. If you are
redistributing or providing access to a work with the phrase "Project
Gutenberg" associated with or appearing on the work, you must comply
either with the requirements of paragraphs 1.E.1 through 1.E.7 or
obtain permission for the use of the work and the Project Gutenberg-tm
trademark as set forth in paragraphs 1.E.8 or 1.E.9.

1.E.3. If an individual Project Gutenberg-tm electronic work is posted
with the permission of the copyright holder, your use and distribution
must comply with both paragraphs 1.E.1 through 1.E.7 and any
additional terms imposed by the copyright holder. Additional terms
will be linked to the Project Gutenberg-tm License for all works
posted with the permission of the copyright holder found at the
beginning of this work.

1.E.4. Do not unlink or detach or remove the full Project Gutenberg-tm
License terms from this work, or any files containing a part of this
work or any other work associated with Project Gutenberg-tm.

1.E.5. Do not copy, display, perform, distribute or redistribute this
electronic work, or any part of this electronic work, without
prominently displaying the sentence set forth in paragraph 1.E.1 with
active links or immediate access to the full terms of the Project
Gutenberg-tm License.

1.E.6. You may convert to and distribute this work in any binary,
compressed, marked up, nonproprietary or proprietary form, including
any word processing or hypertext form. However, if you provide access
to or distribute copies of a Project Gutenberg-tm work in a format
other than "Plain Vanilla ASCII" or other format used in the official
version posted on the official Project Gutenberg-tm web site
(www.gutenberg.org), you must, at no additional cost, fee or expense
to the user, provide a copy, a means of exporting a copy, or a means
of obtaining a copy upon request, of the work in its original "Plain
Vanilla ASCII" or other form. Any alternate format must include the
full Project Gutenberg-tm License as specified in paragraph 1.E.1.

1.E.7. Do not charge a fee for access to, viewing, displaying,
performing, copying or distributing any Project Gutenberg-tm works
unless you comply with paragraph 1.E.8 or 1.E.9.

1.E.8. You may charge a reasonable fee for copies of or providing
access to or distributing Project Gutenberg-tm electronic works
provided that

* You pay a royalty fee of 20% of the gross profits you derive from
  the use of Project Gutenberg-tm works calculated using the method
  you already use to calculate your applicable taxes. The fee is owed
  to the owner of the Project Gutenberg-tm trademark, but he has
  agreed to donate royalties under this paragraph to the Project
  Gutenberg Literary Archive Foundation. Royalty payments must be paid
  within 60 days following each date on which you prepare (or are
  legally required to prepare) your periodic tax returns. Royalty
  payments should be clearly marked as such and sent to the Project
  Gutenberg Literary Archive Foundation at the address specified in
  Section 4, "Information about donations to the Project Gutenberg
  Literary Archive Foundation."

* You provide a full refund of any money paid by a user who notifies
  you in writing (or by e-mail) within 30 days of receipt that s/he
  does not agree to the terms of the full Project Gutenberg-tm
  License. You must require such a user to return or destroy all
  copies of the works possessed in a physical medium and discontinue
  all use of and all access to other copies of Project Gutenberg-tm
  works.

* You provide, in accordance with paragraph 1.F.3, a full refund of
  any money paid for a work or a replacement copy, if a defect in the
  electronic work is discovered and reported to you within 90 days of
  receipt of the work.

* You comply with all other terms of this agreement for free
  distribution of Project Gutenberg-tm works.

1.E.9. If you wish to charge a fee or distribute a Project
Gutenberg-tm electronic work or group of works on different terms than
are set forth in this agreement, you must obtain permission in writing
from both the Project Gutenberg Literary Archive Foundation and The
Project Gutenberg Trademark LLC, the owner of the Project Gutenberg-tm
trademark. Contact the Foundation as set forth in Section 3 below.

1.F.

1.F.1. Project Gutenberg volunteers and employees expend considerable
effort to identify, do copyright research on, transcribe and proofread
works not protected by U.S. copyright law in creating the Project
Gutenberg-tm collection. Despite these efforts, Project Gutenberg-tm
electronic works, and the medium on which they may be stored, may
contain "Defects," such as, but not limited to, incomplete, inaccurate
or corrupt data, transcription errors, a copyright or other
intellectual property infringement, a defective or damaged disk or
other medium, a computer virus, or computer codes that damage or
cannot be read by your equipment.

1.F.2. LIMITED WARRANTY, DISCLAIMER OF DAMAGES - Except for the "Right
of Replacement or Refund" described in paragraph 1.F.3, the Project
Gutenberg Literary Archive Foundation, the owner of the Project
Gutenberg-tm trademark, and any other party distributing a Project
Gutenberg-tm electronic work under this agreement, disclaim all
liability to you for damages, costs and expenses, including legal
fees. YOU AGREE THAT YOU HAVE NO REMEDIES FOR NEGLIGENCE, STRICT
LIABILITY, BREACH OF WARRANTY OR BREACH OF CONTRACT EXCEPT THOSE
PROVIDED IN PARAGRAPH 1.F.3. YOU AGREE THAT THE FOUNDATION, THE
TRADEMARK OWNER, AND ANY DISTRIBUTOR UNDER THIS AGREEMENT WILL NOT BE
LIABLE TO YOU FOR ACTUAL, DIRECT, INDIRECT, CONSEQUENTIAL, PUNITIVE OR
INCIDENTAL DAMAGES EVEN IF YOU GIVE NOTICE OF THE POSSIBILITY OF SUCH
DAMAGE.

1.F.3. LIMITED RIGHT OF REPLACEMENT OR REFUND - If you discover a
defect in this electronic work within 90 days of receiving it, you can
receive a refund of the money (if any) you paid for it by sending a
written explanation to the person you received the work from. If you
received the work on a physical medium, you must return the medium
with your written explanation. The person or entity that provided you
with the defective work may elect to provide a replacement copy in
lieu of a refund. If you received the work electronically, the person
or entity providing it to you may choose to give you a second
opportunity to receive the work electronically in lieu of a refund. If
the second copy is also defective, you may demand a refund in writing
without further opportunities to fix the problem.

1.F.4. Except for the limited right of replacement or refund set forth
in paragraph 1.F.3, this work is provided to you 'AS-IS', WITH NO
OTHER WARRANTIES OF ANY KIND, EXPRESS OR IMPLIED, INCLUDING BUT NOT
LIMITED TO WARRANTIES OF MERCHANTABILITY OR FITNESS FOR ANY PURPOSE.

1.F.5. Some states do not allow disclaimers of certain implied
warranties or the exclusion or limitation of certain types of
damages. If any disclaimer or limitation set forth in this agreement
violates the law of the state applicable to this agreement, the
agreement shall be interpreted to make the maximum disclaimer or
limitation permitted by the applicable state law. The invalidity or
unenforceability of any provision of this agreement shall not void the
remaining provisions.

1.F.6. INDEMNITY - You agree to indemnify and hold the Foundation, the
trademark owner, any agent or employee of the Foundation, anyone
providing copies of Project Gutenberg-tm electronic works in
accordance with this agreement, and any volunteers associated with the
production, promotion and distribution of Project Gutenberg-tm
electronic works, harmless from all liability, costs and expenses,
including legal fees, that arise directly or indirectly from any of
the following which you do or cause to occur: (a) distribution of this
or any Project Gutenberg-tm work, (b) alteration, modification, or
additions or deletions to any Project Gutenberg-tm work, and (c) any
Defect you cause.

Section 2. Information about the Mission of Project Gutenberg-tm

Project Gutenberg-tm is synonymous with the free distribution of
electronic works in formats readable by the widest variety of
computers including obsolete, old, middle-aged and new computers. It
exists because of the efforts of hundreds of volunteers and donations
from people in all walks of life.

Volunteers and financial support to provide volunteers with the
assistance they need are critical to reaching Project Gutenberg-tm's
goals and ensuring that the Project Gutenberg-tm collection will
remain freely available for generations to come. In 2001, the Project
Gutenberg Literary Archive Foundation was created to provide a secure
and permanent future for Project Gutenberg-tm and future
generations. To learn more about the Project Gutenberg Literary
Archive Foundation and how your efforts and donations can help, see
Sections 3 and 4 and the Foundation information page at
www.gutenberg.org



Section 3. Information about the Project Gutenberg Literary Archive Foundation

The Project Gutenberg Literary Archive Foundation is a non profit
501(c)(3) educational corporation organized under the laws of the
state of Mississippi and granted tax exempt status by the Internal
Revenue Service. The Foundation's EIN or federal tax identification
number is 64-6221541. Contributions to the Project Gutenberg Literary
Archive Foundation are tax deductible to the full extent permitted by
U.S. federal laws and your state's laws.

The Foundation's principal office is in Fairbanks, Alaska, with the
mailing address: PO Box 750175, Fairbanks, AK 99775, but its
volunteers and employees are scattered throughout numerous
locations. Its business office is located at 809 North 1500 West, Salt
Lake City, UT 84116, (801) 596-1887. Email contact links and up to
date contact information can be found at the Foundation's web site and
official page at www.gutenberg.org/contact

For additional contact information:

    Dr. Gregory B. Newby
    Chief Executive and Director
    gbnewby@pglaf.org

Section 4. Information about Donations to the Project Gutenberg
Literary Archive Foundation

Project Gutenberg-tm depends upon and cannot survive without wide
spread public support and donations to carry out its mission of
increasing the number of public domain and licensed works that can be
freely distributed in machine readable form accessible by the widest
array of equipment including outdated equipment. Many small donations
($1 to $5,000) are particularly important to maintaining tax exempt
status with the IRS.

The Foundation is committed to complying with the laws regulating
charities and charitable donations in all 50 states of the United
States. Compliance requirements are not uniform and it takes a
considerable effort, much paperwork and many fees to meet and keep up
with these requirements. We do not solicit donations in locations
where we have not received written confirmation of compliance. To SEND
DONATIONS or determine the status of compliance for any particular
state visit www.gutenberg.org/donate

While we cannot and do not solicit contributions from states where we
have not met the solicitation requirements, we know of no prohibition
against accepting unsolicited donations from donors in such states who
approach us with offers to donate.

International donations are gratefully accepted, but we cannot make
any statements concerning tax treatment of donations received from
outside the United States. U.S. laws alone swamp our small staff.

Please check the Project Gutenberg Web pages for current donation
methods and addresses. Donations are accepted in a number of other
ways including checks, online payments and credit card donations. To
donate, please visit: www.gutenberg.org/donate

Section 5. General Information About Project Gutenberg-tm electronic works.

Professor Michael S. Hart was the originator of the Project
Gutenberg-tm concept of a library of electronic works that could be
freely shared with anyone. For forty years, he produced and
distributed Project Gutenberg-tm eBooks with only a loose network of
volunteer support.

Project Gutenberg-tm eBooks are often created from several printed
editions, all of which are confirmed as not protected by copyright in
the U.S. unless a copyright notice is included. Thus, we do not
necessarily keep eBooks in compliance with any particular paper
edition.

Most people start at our Web site which has the main PG search
facility: www.gutenberg.org

This Web site includes information about Project Gutenberg-tm,
including how to make donations to the Project Gutenberg Literary
Archive Foundation, how to help produce our new eBooks, and how to
subscribe to our email newsletter to hear about new eBooks.